كيف ممكن اطبق نظام #الكيتو واخفض الكوليسترول بطريقة علمية؟
باختصار تطبيق نظام #الكيتو_الاسباني او نظام الكيتو على قواعد نظام البحر الابيض المتوسط
ثريد يشرح الطريقة بالتفصيل ونتائج الدراسات الحالية ..
#صحتك_استثمارك
باختصار تطبيق نظام #الكيتو_الاسباني او نظام الكيتو على قواعد نظام البحر الابيض المتوسط
ثريد يشرح الطريقة بالتفصيل ونتائج الدراسات الحالية ..
#صحتك_استثمارك
#التغذية_الكيتونية أو #نظام_الكيتو لها عدة طرق لتطبيقها ..
وإحدى هذه الطرق هو تطبيق الكيتو على القواعد الأساسية لنظام البحر المتوسط مع تعديل نسب المغذيات الكبرى
وهي طريقة مجربة وفعالة لخفض الكوليسترول العام والدهون الضارة او LDL والدهون الثلاثية
(١)
وإحدى هذه الطرق هو تطبيق الكيتو على القواعد الأساسية لنظام البحر المتوسط مع تعديل نسب المغذيات الكبرى
وهي طريقة مجربة وفعالة لخفض الكوليسترول العام والدهون الضارة او LDL والدهون الثلاثية
(١)
في دراسة عام ٢٠٠٨م أجريت على ٣١ شخص مصاب بالسمنة اطلقت عليها حمية الكيتو الاسبانية
متوسط النتائج خلال ١٢ أسبوع:
⬇️الوزن من ١٠٨ كج إلى ٩٤ كج
⬇️الكوليسترول من ٢٠٨ إلى ١٨٦ مج/دسل
⬇️LDL من ١١٤ إلى ١٠٥ مج/دسل
⬇️الدهون الثلاثية من ٢١٨ إلى ١١٣ مج/دسل
nutritionj.biomedcentral.com
(٢)
متوسط النتائج خلال ١٢ أسبوع:
⬇️الوزن من ١٠٨ كج إلى ٩٤ كج
⬇️الكوليسترول من ٢٠٨ إلى ١٨٦ مج/دسل
⬇️LDL من ١١٤ إلى ١٠٥ مج/دسل
⬇️الدهون الثلاثية من ٢١٨ إلى ١١٣ مج/دسل
nutritionj.biomedcentral.com
(٢)
القواعد الرئيسية لهذا النظام:
- زيت الزيتون البكر كمصدر أساسي للدهون
- السلطة الخضراء والخضروات الورقية كمصدر أساسي للكربوهيدرات
- الأسماك كمصدر أساسي للبروتين
بدون تحديد سقف أعلى للسعرات الحرارية
(٣)
- زيت الزيتون البكر كمصدر أساسي للدهون
- السلطة الخضراء والخضروات الورقية كمصدر أساسي للكربوهيدرات
- الأسماك كمصدر أساسي للبروتين
بدون تحديد سقف أعلى للسعرات الحرارية
(٣)
بمعنى:
٢٠٠ جرام من السلطة الخضراء ثلاث مرات في اليوم من مصادر متنوعة منخفضة المؤشر الجلايسمي
٣٠ جرام على الأقل من زيت الزيتون البكر
٤ أيام في الاسبوع تكون الأسماك بأنواعها هي الاساس
٣ أيام تكون فيها اللحوم والدجاج والبيض والجمبري والأجبان
(٤)
٢٠٠ جرام من السلطة الخضراء ثلاث مرات في اليوم من مصادر متنوعة منخفضة المؤشر الجلايسمي
٣٠ جرام على الأقل من زيت الزيتون البكر
٤ أيام في الاسبوع تكون الأسماك بأنواعها هي الاساس
٣ أيام تكون فيها اللحوم والدجاج والبيض والجمبري والأجبان
(٤)
يمنع فيها اللحوم المصنعة والزيوت النباتية والسكر المضاف والنشويات ذات محتوى عالي من الكربوهيدرات مثل الرز والخبز وبعض الفواكه
يسمح بتناول كوبين من القهوة أو الشاي في اليوم بحد أقصى
لابد من شرب ما يقارب ٣ لتر من الماء يومياً
يسمح فيها استعمال المحليات البديلة خالية السعرات
(٥)
يسمح بتناول كوبين من القهوة أو الشاي في اليوم بحد أقصى
لابد من شرب ما يقارب ٣ لتر من الماء يومياً
يسمح فيها استعمال المحليات البديلة خالية السعرات
(٥)
يفضل أيضاً تناول المكملات التي تغطي الفيتامينات والأملاح الأساسية
وتناول مكمل الاوميجا-٣ والكالسيوم
ويكون صرف هذه المكملات بعد الاستشارة الطبية
ويفضل أيضاً المتابعة الطبية أثناء تطبيق هذا النظام الغذائي
(٦)
وتناول مكمل الاوميجا-٣ والكالسيوم
ويكون صرف هذه المكملات بعد الاستشارة الطبية
ويفضل أيضاً المتابعة الطبية أثناء تطبيق هذا النظام الغذائي
(٦)
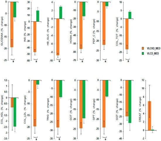
نتائج مشابهة أظهرتها دراسة أخرى أطلق عليها الكيتو الإيطالي عام ٢٠٢٢م شملت ٨٠ مشتركاً ٤٠ منهم في نظام الكيتو الايطالي و٤٠ أخرين في نظام البحر المتوسط الايطالي
تم التحكم بالسعرات في هذه الدراسة لتكون ٨٠٠ سعرة حرارية لمدة شهر
(٧)
تم التحكم بالسعرات في هذه الدراسة لتكون ٨٠٠ سعرة حرارية لمدة شهر
(٧)
وكان توزيع السعرات في نظام الكيتو الايطالي كالتالي:
- أقل من ٥٠ جرام من الكارب (المتوسط ٢٠ جرام أو أقل من ١٠٪ من مجموع السعرات) من الخضروات الورقية والمكسرات
- الدهون ٥٢ جرام (٨٥٪ من مجموع السعرات) معظمها من زيت الزيتون والمكسرات
- البروتين ١.٢ ج/كجم من الوزن كمتوسط
(٨)
- أقل من ٥٠ جرام من الكارب (المتوسط ٢٠ جرام أو أقل من ١٠٪ من مجموع السعرات) من الخضروات الورقية والمكسرات
- الدهون ٥٢ جرام (٨٥٪ من مجموع السعرات) معظمها من زيت الزيتون والمكسرات
- البروتين ١.٢ ج/كجم من الوزن كمتوسط
(٨)
أظهرت هذه الدراسة أفضلية للنظام الكيتو الايطالي (كيتو البحر المتوسط) على نظام البحر المتوسط الاعتيادي في تخفيض وانتظام مستوى:
- السكر
- الانسولين
- الكوليسترول العام وال LDL
بالاضافة لخسارة الدهون بدون خسارة الكتلة العضلية 👍🏼
mdpi.com
(٩)
- السكر
- الانسولين
- الكوليسترول العام وال LDL
بالاضافة لخسارة الدهون بدون خسارة الكتلة العضلية 👍🏼
mdpi.com
(٩)
هذه الدراسات مازالت ذات عدد قليل من المشتركين فيها .. ومازلنا في انتظار نتائج الدراسات المطولة على هذا النوع من تطبيق التغذية الكيتونية على طريفة البحر الأبيض المتوسط
بالإضافة للعديد من الدراسات في البروتوكولات المختلفة في تطبيق التغذية الكيتونية أو نظام الكيتو
(١٠)
بالإضافة للعديد من الدراسات في البروتوكولات المختلفة في تطبيق التغذية الكيتونية أو نظام الكيتو
(١٠)
دورنا كمختصين هو في إرشاد الراغبين في تطبيق الانظمة الغذائية بالطريقة الأمثل لإحداث تغييرات إيجابية في المؤشرات الحيوية والصحية
هناك العديد من الأنظمة الغذائية التي يمكن تطبيقها بطريقة صحية للوصول لنتائج أفضل على مستوى الصحة
(١١)
هناك العديد من الأنظمة الغذائية التي يمكن تطبيقها بطريقة صحية للوصول لنتائج أفضل على مستوى الصحة
(١١)
جاري تحميل الاقتراحات...