د.أندرو ويكفيلد
صاحب ما وُصِف لاحقاً بأكبر كذبة طبية مدمرة خلال المئة عام الماضية!
سأتحدث عن محاولته تشويه سمعة اللقاح الفيروسي الثلاثي وربطه بالتوحد ليستطيع التسويق للقاح الذي قام باختراعه كتطعيم للحصبة!
وسأتحدث باختصار عن اللقاحات كطبيب أطفال مختص بالمناعة!
#هلكوني
@salrashed
صاحب ما وُصِف لاحقاً بأكبر كذبة طبية مدمرة خلال المئة عام الماضية!
سأتحدث عن محاولته تشويه سمعة اللقاح الفيروسي الثلاثي وربطه بالتوحد ليستطيع التسويق للقاح الذي قام باختراعه كتطعيم للحصبة!
وسأتحدث باختصار عن اللقاحات كطبيب أطفال مختص بالمناعة!
#هلكوني
@salrashed
في البداية سأتحدث عن الفترة التي سبقت بحثه الذي نُشر في عام١٩٩٨.
في الثمانينات من القرن الماضي، قام د.ويكفيلد (طبيب أمراض الجهاز الهضمي لدى البالغين)بنشر تقارير "أفترض" فيها وجود علاقة بين الإصابة بفيروس الحصبة وأمراض الأمعاء الإلتهابية وخاصة مرض كرونز!
#صوت_الطبيب
#فضفضة_طبيب
في الثمانينات من القرن الماضي، قام د.ويكفيلد (طبيب أمراض الجهاز الهضمي لدى البالغين)بنشر تقارير "أفترض" فيها وجود علاقة بين الإصابة بفيروس الحصبة وأمراض الأمعاء الإلتهابية وخاصة مرض كرونز!
#صوت_الطبيب
#فضفضة_طبيب
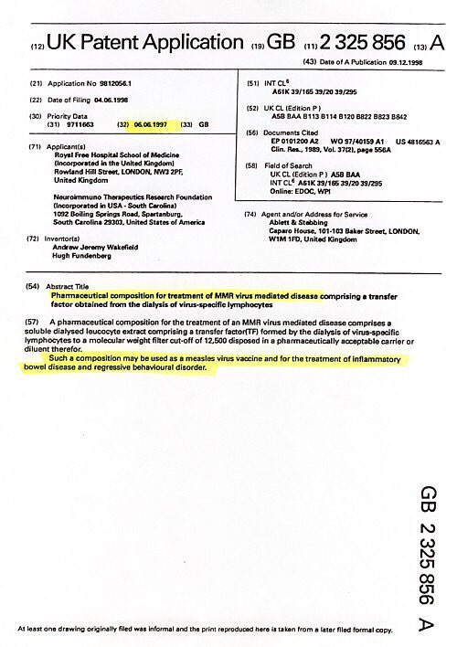
في منتصف التسعينات قامت مجموعة كانت تحاول مقاضات الشركات المنتجة للقاح الفيروسي الثلاثي (الحصبة،النكاف،الحصبة الألمانية) بالطلب من د.ويكفيلد القيام بأبحاث تدعم القضية خاصة أنه قام بنشر التقارير المذكورة سابقاً والتي ربطت فيروس الحصبة (الموجود في اللقاح) مع مرض كرونز.
قامت المجموعة بدفع مبلغ ٥٥ ألف جنيه استرليني للقيام بتلك الأبحاث!
كان ذلك المبلغ كفيلاً لتحويل د.ويكفيلد من خبير بالجهاز الهضمي لخبير باللقاحات!
ذكرت التقارير لاحقاً أنه تلقى ما يقارب نصف مليون جنيه استرليني من تلك المجموعة!
كان ذلك المبلغ كفيلاً لتحويل د.ويكفيلد من خبير بالجهاز الهضمي لخبير باللقاحات!
ذكرت التقارير لاحقاً أنه تلقى ما يقارب نصف مليون جنيه استرليني من تلك المجموعة!
خلال بحثه، قام بتجميع ١٢ طفل توحدي عن طريق المجموعة التي كانت تحاول مقاضاة الشركات المنتجة للقاح.
أدعى الأهالي وجود علاقة بين اللقاح وبين ظهور التوحد بين ابنائهم!
وكما هو معروف علميا أن عدداً بسيطاً كهذا العدد ليس كافياً للحصول على نتيجة علمية مُعتمدة!
أدعى الأهالي وجود علاقة بين اللقاح وبين ظهور التوحد بين ابنائهم!
وكما هو معروف علميا أن عدداً بسيطاً كهذا العدد ليس كافياً للحصول على نتيجة علمية مُعتمدة!
تم سحب الدم من هولاء الأطفال كما قام د.ويكفيلد بعمل منظار وأخذ عينات من أمعائهم مدعياً وجود إلتهابات عزاها في بحث إلحاقي لوجود فيروس الحصبة القادم من اللقاح!
لكم أن تتخيلوا المعاناة التي مر بها أطفال توحديون من أجل الخضوع لمثل هذه الإجراءات من طبيب ليس لديه رخصة طبية كطبيب أطفال!
لكم أن تتخيلوا المعاناة التي مر بها أطفال توحديون من أجل الخضوع لمثل هذه الإجراءات من طبيب ليس لديه رخصة طبية كطبيب أطفال!
بعد عدة سنوات تم الكشف أنه لا وجود للإلتهابات المذكورة وتم نشر نتائج العينات الأصلية الطبيعية في مجلة BMJ في عام ٢٠١٠!
في خطوة غريبة من نوعها سبقت نشر البحث بإسبوعين، قام د.ويكفيلد والمستشفى الملكي المجاني بلندن بعقد مؤتمر صحفي مصحوباً بفيديو مُعد مسبقاً يتحدث فيه عن نتائج البحث!
ذكر د.ويكفيلد أنه لا يستطيع دعم استخدام اللقاح الثلاثي ولم يفوت الفرصة للترويج للقاحه الأحادي الذي كان في طور الحصول على الموافقة الرسمية لإنتاجه!
للأسف كان المؤتمر الصحفي سبباً لإنتشار الفزع في بريطانيا وبقية أنحاء العالم ولحِق ذلك إنخفاض كبير في نسبة التطعيم باللقاح الثلاثي!
قام براين بالحصول على الوثائق الرسمية التي أكدت طلب د.ويكفيلد الحصول على براءة الإختراع كما قام بلقاء أحد طلبة الدكتوراة الذي كان يعمل مع د.ويكفيلد والذي نفى وجود فيروس الحصبة في أمعاء أطفال التوحد الذي تم إجراء البحث عليهم!
بعد الوثائقي قام ١٠ من أصلا ١٢ كاتباً متعاوناً في بحث د.ويكفيلد بسحب التفسير الموجود في نهاية البحث والذي أدى للجدل القائم بخصوص التطعيم!
لحق ذلك قيام مجلة ذا لانست بسحب جزئي للبحث لحقه سحب كلي بعد تكشف المزيد من الحقائق عن تلاعب د.ويكفيلد بالبيانات!
لحق ذلك قيام مجلة ذا لانست بسحب جزئي للبحث لحقه سحب كلي بعد تكشف المزيد من الحقائق عن تلاعب د.ويكفيلد بالبيانات!
كشف براين أيضا أن د.ويكفيلد وبالتعاون مع أحد أباء الإثنى عشر طفلا كان ينوي بيع طقم أدوات لفحص جديد يهدف للكشف عن المرض الذي أسماه "التهاب الأمعاء التوحدي"
قدّر د.ويكفيلد أرباحه من بيع عدة هذا الفحص ب٤٣ مليون دولار في السنة! خاصة في أعقاب الخوف الذي سيلحق نشره للبحث المزعوم!
قدّر د.ويكفيلد أرباحه من بيع عدة هذا الفحص ب٤٣ مليون دولار في السنة! خاصة في أعقاب الخوف الذي سيلحق نشره للبحث المزعوم!
بعد التحقيق الذي قام به المجلس الطبي البريطاني، تم إتهام د.ويكفيلد بعدم الأمانة، وفحص أطفال دون وجود مؤهل مسبق وتعريضهم للأذى بالإضافة لقائمة طويلة من الإتهامات التي لحقها منعه تماماً من العمل كطبيب.
وبذلك انتهت "أكبر خدعة طبية في هذا العصر"
لينتقل بعدها د.ويكفيلد من خبير للجهاز الهضمي لخبير التوحد والنمو عند الأطفال وعدو للقاحات بعد فشل مشروع لقاحه العجيب!
لينتقل بعدها د.ويكفيلد من خبير للجهاز الهضمي لخبير التوحد والنمو عند الأطفال وعدو للقاحات بعد فشل مشروع لقاحه العجيب!
بالنسبة لوجهة نظري في التطعيمات:
أرى أن التطعيمات هي إجراء طبي له إيجابياته وسلبياته.
لذا أرى أنه لا يجب أن يكون التطعيم إجبارياً حاله كحال أي إجراء طبي بل مبنياً على الموافقة المستنيرة بالمعلومات الطبية الكافية المقدمة من الطبيب المعالج!
أرى أن التطعيمات هي إجراء طبي له إيجابياته وسلبياته.
لذا أرى أنه لا يجب أن يكون التطعيم إجبارياً حاله كحال أي إجراء طبي بل مبنياً على الموافقة المستنيرة بالمعلومات الطبية الكافية المقدمة من الطبيب المعالج!
في رأيي أن إيجابيات التطعيمات تفوق سلبياته بكثير وأن معظم السلبيات التي قد تسبب مشاكل كبيرة هي نادرة ولله الحمد.
أعتقد أن من واجب طبيب الأطفال أن يكون على دراية بتفاصيل اللقاح حتى يقوم بمناقشة مخاوف الأهل ولا يقوم بصرف النظر عنها أو التقليل من شأنها دون تفنيدها بشكل واضح!
أعتقد أن من واجب طبيب الأطفال أن يكون على دراية بتفاصيل اللقاح حتى يقوم بمناقشة مخاوف الأهل ولا يقوم بصرف النظر عنها أو التقليل من شأنها دون تفنيدها بشكل واضح!
كما أرى أن كثير من النقاشات بين المعارضين والمؤيدين للتطعيمات في الإنترنت قد وصلت لمرحلة المهاترات حيث أن الإنتصار للنفس أمام الآخرين يغلب على الإنتصار للحق لذا أرى أن هذه النقاشات يجب أن تتم فقط في العيادة وجهاً لوجه بين الطبيب وأهل المريض بكل أدب وإحترام بين الطرفين!
إنتهى!
إنتهى!
جاري تحميل الاقتراحات...