9-
ملف PDF مهم جداً لكل طالب
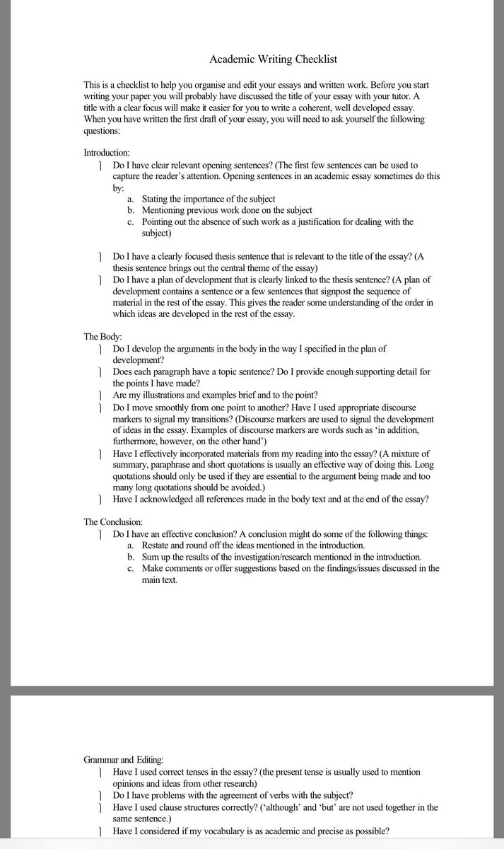
?قائمة مراجعة بأهم 17 سؤال يجب أن تسألها نفسك
قبل تسليم بحثك
Academic Writing Checklist
?
www2.warwick.ac.uk
?
#الكتابة_الأكاديمية
#دورة_الكتابة_الاكاديمية
البحث_العلمي
#البحث_النوعي
?
?
@SofraaUK
@Acad_Research
@ArabicResearch
ملف PDF مهم جداً لكل طالب
?قائمة مراجعة بأهم 17 سؤال يجب أن تسألها نفسك
قبل تسليم بحثك
Academic Writing Checklist
?
www2.warwick.ac.uk
?
#الكتابة_الأكاديمية
#دورة_الكتابة_الاكاديمية
البحث_العلمي
#البحث_النوعي
?
?
@SofraaUK
@Acad_Research
@ArabicResearch
10-
?الكلمات المتشابهة?
هذا الموقع يشرح الكلمات التي دائما تسبب اختلاط في الفهم، وتكون إما متشابهه في النطق او متشابهة في الكتابة،
الموقع مفيد وبه أمثلة تشرح اغلب المعاني المهمة
Words Often Confused
#top%C2%A0" target="_blank" rel="noopener" onclick="event.stopPropagation()">davidappleyard.com…
?الكلمات المتشابهة?
هذا الموقع يشرح الكلمات التي دائما تسبب اختلاط في الفهم، وتكون إما متشابهه في النطق او متشابهة في الكتابة،
الموقع مفيد وبه أمثلة تشرح اغلب المعاني المهمة
Words Often Confused
#top%C2%A0" target="_blank" rel="noopener" onclick="event.stopPropagation()">davidappleyard.com…
11
⭐️ وهذه قناة على #يوتيوب ⭐️
ممتازة وبها شروح ومقاطع كثيرة موزعة على مستويات
ومفيدة لتطوير مهارت #الكتابة_الأكاديمية
youtube.com
—
? شاركنا بنشر هذه التغريدات ?
#الكتابة_الأكاديمية
#دورة_الكتابة_الاكاديمية
#البحث_العلمي
#البحث_النوعي
?
?
@Acad_Research
⭐️ وهذه قناة على #يوتيوب ⭐️
ممتازة وبها شروح ومقاطع كثيرة موزعة على مستويات
ومفيدة لتطوير مهارت #الكتابة_الأكاديمية
youtube.com
—
? شاركنا بنشر هذه التغريدات ?
#الكتابة_الأكاديمية
#دورة_الكتابة_الاكاديمية
#البحث_العلمي
#البحث_النوعي
?
?
@Acad_Research
جاري تحميل الاقتراحات...