ScienceWorks Arabic
ScienceWorks Arabic

@Anass788

13 تغريدة 8 قراءة Jan 23, 2024
⚒️ اليوم سنتكلم عن الفيزيائي ألبرت أينشتاين A.Einstein ؛ العبقري الشهير الذي غير وجه الفيزياء الكلاسيكية وأرسى أسس الفيزياء النظرية !
📐⚛️ دعونا نكتشف نبذة عن حياته الشخصية الحافلة بالمتاعب والإنجازات العلمية منذ ولادته بألمانيا إلى وفاته ووصفه ب "أب القنبلة النووية"
👇🏼 ثريد
ولد أينشتاين 4 مارس سنة 1879 بألمانيا، وكان الطفل الأول لوالده هيرمان أينشتاين وبولين كوخ.
تأخر في النطق إلى سنه الرابع لكنه سيعرف فيما بعد ببراعته في الفيزياء والرياضيات منذ صغره حيث تعلم الجبر والهندسة والتفاضل والتكامل لوحده عندما كان بعمر 12 سنة !
عبقريته تتضح يوما بعد يوم
إلا أن هذا كان مع إهمال تام للتاريخ، الأدب، علوم النبات ... لذلك عندما بلغ 16 سنة وتقدم لاجتياز اختبارات قبول مدرسة الفنون ETH، أحرز درجات عالية في الفيزياء والرياضيات لكنه رسب في غير ذلك.
فما كان من المدير إلا أن أرسله لسويسرا لإكمال تعليمه ثم العودة لاجتياز الامتحان مجددا
فتم ذلك ونجح أينشتاين في الامتحان وتميز في #الفيزياء، وهناك التقى بمليفا ماريك، المرأة الوحيدة في فصله والتي ستصبح زوجته الأولى بعد قصة حب طويلة انتهت بزواجهما بعد انجاب الطفل الأول لآينشتاين Hans
في هذه الفترة، كان أينشتاين يعمل بشكل يومي في مكتب براءات اختراع بسويسرا بعد تخرجه
وقد كان يستغل وقته في المكتب للتفكير في معادلات ماكسويل وربطها بميكانيكا نيوتن إلى جانب متابعة تطورات فرضية الكمات quanta لماكس بلانك والتأثير الكهروضوئي والحركة البراونية
تكللت بنشر 4 أوراق علمية سنة 1905 لفتت انتباه الجميع، حول النسبية الخاصة، تفسير التأثير الكهروضوئي والذرات
هذا جعل من أينشتاين معروفا حول ألمانيا وتم تعيينه أخيرا في منصب جامعي كأسثاذ ومحاضر، مما سمح له بالتركيز على مسائل أخرى كانت تثير إهتمامه منها تفسير الجاذبية في إطار النسبية الخاصة واكتشاف مبدأ تكافؤ الجاذبية - التسارع
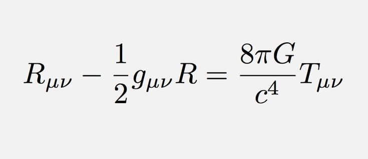
هذا أدى به لإكتشاف معادلات النسبية العامة ونشرها سنة 1915
وذلك بعد سباق طويل بينه كفيزيائي نظري وبين أحد أعظم علماء الرياضيات في عصره وفي التاريخ هلبرت D.Hilbert، انتهى بتوصل أينشتاين لمعادلات المجال الصحيحة أولا.
ولا ننسى أن زميله في الجامعة غروسمان M.Grossman كان من ساعده في بناء الهندسة الريمانية التي تأسست عليها النسبية العامة.
وقد تم تأكيد النظرية تجريبيا من خلال رصد إنحناء الضوء بسبب جاذبية الشمس بنفس المقدار φ∆ الذي تنبأ به أينشتاين، وتعتبر النسبية العامة من أدق النظريات الفيزيائية إلى الآن.
سنة 1919، فاز أينشتاين بجائزة نوبل للفيزياء لتفسيره التأثير الكهروضوئي، وإنفصل عن مليفا ليتزوج ابنة عمه إلسا
💭واصل أينشتاين إسهاماته الفيزيائية في الفيزياء النظرية؛ خصوصا تفسير وتطوير ميكانيكا الكم والنسبية العامة.
وصولا إلى سنة 1933 حيث استولى الحزب النازي المعادي لليهود على الحكم في ألمانيا، وأدرك أينشتاين "اليهودي" أنه وجب مغادرة المانيا، وكان ذلك إلى الولايات المتحدة الأمريكية USA
⚒️ هنا قل إنتاج أينشتاين العلمي إذ كان مهتما بالوضع السياسي في العالم وبالحرب العالمية II التي صدمت الحلفاء بدول المحور كما انقسم الفيزيائيون إلى مشاريع عسكرية عملوا فيها على تطوير أسلحة دمار شامل كان أبرزها القنبلة الذرية atomic bomb
تناولها في فيلم اوبنهايمر الذي صدر مؤخرا📽️
بعد إنتهاء الحرب، كان أينشتاين قد حصل على الجنسية الأمريكية وتولى منصبا في institute of advanced studies إلى جانب اوبنهايمر، فون نويمن ...
وكان أبرز اعماله هو إكتشاف التشابك الكمي quantum entanglement أو بما عرف بمفارقة EPR في ميكانيكا الكم الذي تم اثباته تجريبيا فيما بعد
توفي أينشتاين سنة 1955 بنزيف داخلي وهكذا فقد العالم أحد أذكى العقول التي غيرت التاريخ باكتشافاتها ⚰️💭
📏كان عقلية علمية وفلسفية فذة واشتهر بحبه للكمان وقراءة كتب الفلسفة ومتابعة الأخبار العالمية
تم إنتاج فيلم بعنوان Genius يحكي قصة أينشتاين الدرامية بشكل ممتع، انصح بمشاهدته 🌹
إنجازات أينشتاين وأثره على الفيزياء يجعله ببساطة أحد أهم العقول التي وجدت في تاريخنا؛ من تأكيده وجود الذرات وأن الضوء مكون من فوتونات إلى اكتشافه التشابك الكمي وطبيعة الجاذبية وماذا يحدث عند حدود سرعة الضوء، وحتى ابتكاره لثلاجة 😄
لا تنسانا من عمل repost ليصل لاكبر عدد ممكن 🙏🏻🌹

جاري تحميل الاقتراحات...