تغريدة مهم جداً للمؤرخين وللشعب العراقي كيف تم أحتلال بلده؟
من هي السلطة المدنية الحاكمة للعراق التي تولت ألأعداد لحكومة العراق الحالية؟.
كيف تم التخيط؟ ماهي أسم الخطة التي أطلقة على احتلال العراق في الوثائق؟
من هم العناصر العرقية التي تم تجنيدهم؟ كيف تم تجنيدهم؟
تكلمت في كثير من المساحات الصوتيه إن أحتلال العراق بدأ بمؤآمرة وأنتهى بمشروع. طبعاً كشخص أكاديمي يستند كلامي الى مصادر.
للأجابة على الأسئلة تابع سلسلة تغريدات والذي يذكر أسمه له حق الرد.
التغريدة الأولى/ الكلام منقول حسب الوثائق المؤرشفة في وزارة الخارجية الأمريكية.
لقد كان "مشروع مستقبل العراق" (The Future of Iraq Project) واحداً من أكثر جهود التخطيط الحكومية الأمريكية شمولاً لرفع هذا البلد من رماد القتال وإقامة ديمقراطية فاعلة.
للأجابة على كيف تم المشروع،
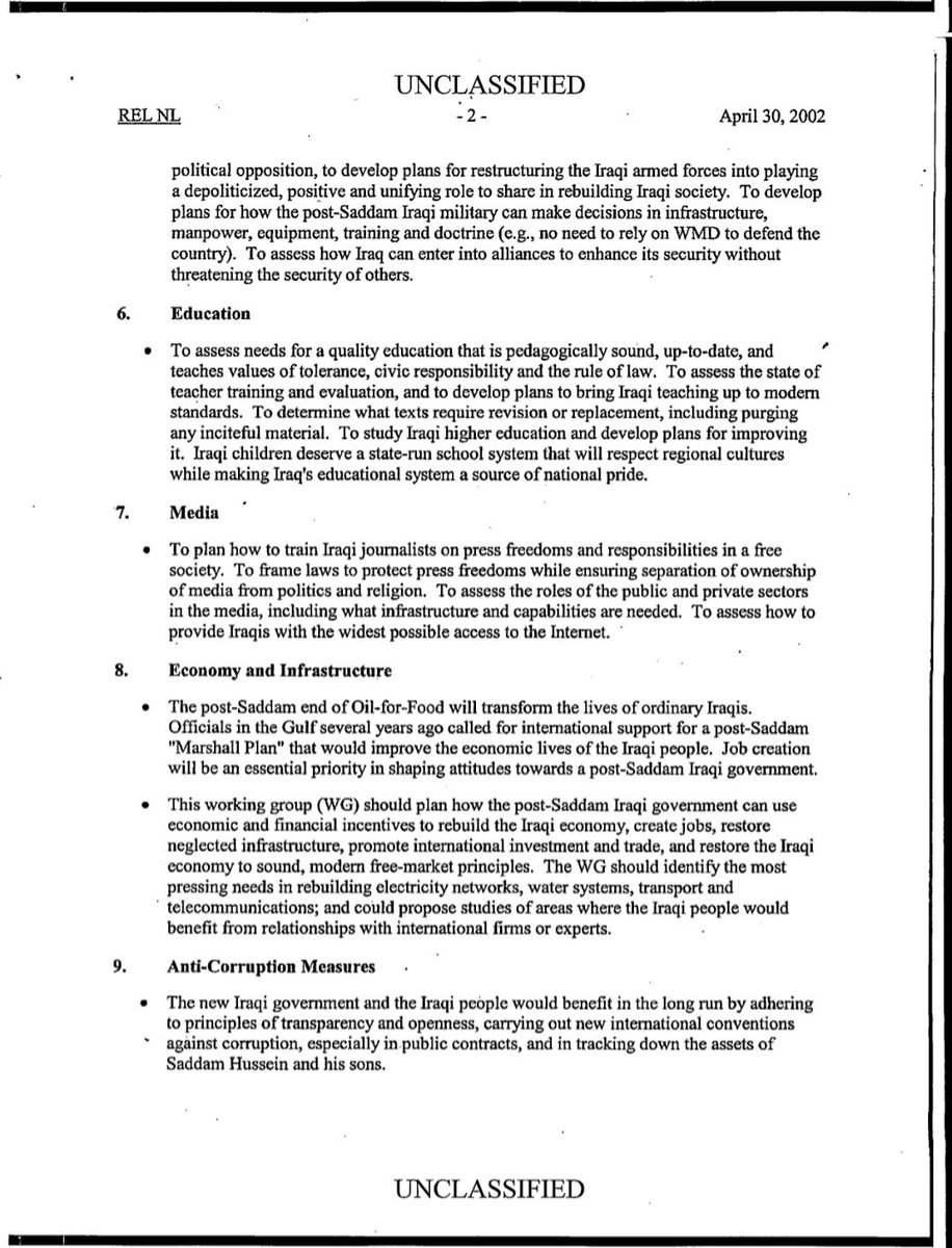
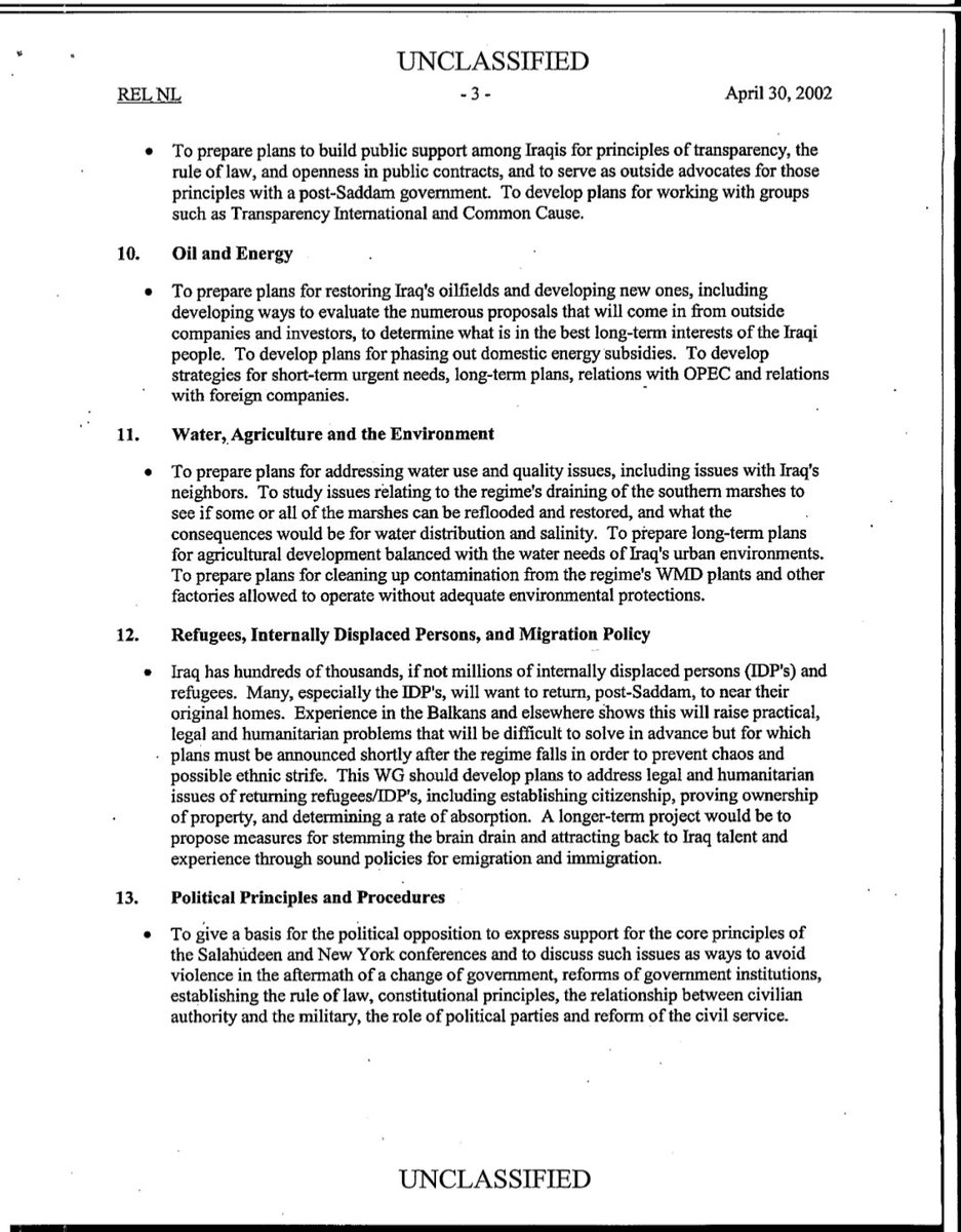
بعد أقل من شهر من هجمات 11 سبتمبر/أيلول، بدأت وزارة الخارجية في أكتوبر/تشرين الأول 2001 التخطيط للمرحلة الانتقالية في مرحلة ما بعد صدام حسين في العراق. وبتوجيه من مسؤول الخارجية السابق توماس س. واريك، جندت الوزارة أكثر من 200 مهندس ومحامي ورجال أعمال وأطباء وغيرهم من الخبراء العراقيين في 17 مجموعة عمل لوضع استراتيجية حول موضوعات تشمل ما يلي: الصحة العامة والاحتياجات الإنسانية، والشفافية ومكافحة الإرهاب. الفساد، النفط والطاقة، سياسات ومؤسسات الدفاع، العدالة الانتقالية، المبادئ والإجراءات الديمقراطية، الحكومة المحلية، بناء قدرات المجتمع المدني، التعليم، الإعلام الحر، المياه، الزراعة والبيئة والاقتصاد والبنية التحتية.
تم عقد ثلاثة وثلاثين اجتماعًا في المقام الأول في واشنطن في الفترة من يوليو/تموز 2002 حتى أوائل أبريل/نيسان 2003. وكجزء من المعركة البيروقراطية الداخلية للسيطرة على سياسة العراق داخل إدارة بوش، قام مكتب إعادة الإعمار والمساعدة الإنسانية التابع لوزارة الدفاع (ORHA) نفسه تم استبدالها بسلطة التحالف المؤقتة في مايو/أيار 2003 (💥 أنتبهوا لهذه النقطة المهم)، وستتولى في نهاية المطاف مسؤولية التخطيط لمرحلة ما بعد الحرب وفقاً للتوجيه الرئاسي رقم 24 للأمن القومي الموقع في 20 يناير/كانون الثاني 2003.
وكانت نتيجة المشروع عبارة عن تقرير مكون من 1200 صفحة في 13 مجلدًا يحتوي على العديد من الحقائق والاستراتيجيات والتنبؤات والتحذيرات حول مجموعة متنوعة من القضايا المعقدة والمحتملة الانفجار، والتي تطور بعضها منذ ذلك الحين كما توقع مؤلفو التقرير. وقد ساهمت هذه العوامل في إغراق تجربة بناء الأمة التي تقودها الولايات المتحدة في كارثة. وهنالك فئة مخصصة للمعلومات التي تعتبر "حساسة ولكنها غير سرية"، مما يعني أنها غير مشمولة بأي قانون أو لائحة ولكن لا يزال من الممكن حجبها إذا قرر المسؤولون الحكوميون إن الكشف عنها يمكن أن "يؤثر سلبًا" على بعض المصالح الخاصة أو الوطنية.
المصدر الوثيقة رقم 20020410
من هي السلطة المدنية الحاكمة للعراق التي تولت ألأعداد لحكومة العراق الحالية؟.
كيف تم التخيط؟ ماهي أسم الخطة التي أطلقة على احتلال العراق في الوثائق؟
من هم العناصر العرقية التي تم تجنيدهم؟ كيف تم تجنيدهم؟
تكلمت في كثير من المساحات الصوتيه إن أحتلال العراق بدأ بمؤآمرة وأنتهى بمشروع. طبعاً كشخص أكاديمي يستند كلامي الى مصادر.
للأجابة على الأسئلة تابع سلسلة تغريدات والذي يذكر أسمه له حق الرد.
التغريدة الأولى/ الكلام منقول حسب الوثائق المؤرشفة في وزارة الخارجية الأمريكية.
لقد كان "مشروع مستقبل العراق" (The Future of Iraq Project) واحداً من أكثر جهود التخطيط الحكومية الأمريكية شمولاً لرفع هذا البلد من رماد القتال وإقامة ديمقراطية فاعلة.
للأجابة على كيف تم المشروع،
بعد أقل من شهر من هجمات 11 سبتمبر/أيلول، بدأت وزارة الخارجية في أكتوبر/تشرين الأول 2001 التخطيط للمرحلة الانتقالية في مرحلة ما بعد صدام حسين في العراق. وبتوجيه من مسؤول الخارجية السابق توماس س. واريك، جندت الوزارة أكثر من 200 مهندس ومحامي ورجال أعمال وأطباء وغيرهم من الخبراء العراقيين في 17 مجموعة عمل لوضع استراتيجية حول موضوعات تشمل ما يلي: الصحة العامة والاحتياجات الإنسانية، والشفافية ومكافحة الإرهاب. الفساد، النفط والطاقة، سياسات ومؤسسات الدفاع، العدالة الانتقالية، المبادئ والإجراءات الديمقراطية، الحكومة المحلية، بناء قدرات المجتمع المدني، التعليم، الإعلام الحر، المياه، الزراعة والبيئة والاقتصاد والبنية التحتية.
تم عقد ثلاثة وثلاثين اجتماعًا في المقام الأول في واشنطن في الفترة من يوليو/تموز 2002 حتى أوائل أبريل/نيسان 2003. وكجزء من المعركة البيروقراطية الداخلية للسيطرة على سياسة العراق داخل إدارة بوش، قام مكتب إعادة الإعمار والمساعدة الإنسانية التابع لوزارة الدفاع (ORHA) نفسه تم استبدالها بسلطة التحالف المؤقتة في مايو/أيار 2003 (💥 أنتبهوا لهذه النقطة المهم)، وستتولى في نهاية المطاف مسؤولية التخطيط لمرحلة ما بعد الحرب وفقاً للتوجيه الرئاسي رقم 24 للأمن القومي الموقع في 20 يناير/كانون الثاني 2003.
وكانت نتيجة المشروع عبارة عن تقرير مكون من 1200 صفحة في 13 مجلدًا يحتوي على العديد من الحقائق والاستراتيجيات والتنبؤات والتحذيرات حول مجموعة متنوعة من القضايا المعقدة والمحتملة الانفجار، والتي تطور بعضها منذ ذلك الحين كما توقع مؤلفو التقرير. وقد ساهمت هذه العوامل في إغراق تجربة بناء الأمة التي تقودها الولايات المتحدة في كارثة. وهنالك فئة مخصصة للمعلومات التي تعتبر "حساسة ولكنها غير سرية"، مما يعني أنها غير مشمولة بأي قانون أو لائحة ولكن لا يزال من الممكن حجبها إذا قرر المسؤولون الحكوميون إن الكشف عنها يمكن أن "يؤثر سلبًا" على بعض المصالح الخاصة أو الوطنية.
المصدر الوثيقة رقم 20020410
التغريدة الثانية/ مشروع مستقبل العراق
وفي مارس/ آذار 2002، أرسلت وزارة الخارجية إخطاراً إلى الكونجرس بقيمة 5 ملايين دولار لدعم مشروع مستقبل العراق. تم عقد أول اجتماع تخطيطي مع العراقيين في معهد الشرق الأوسط في واشنطن العاصمة في الفترة من 9 إلى 10 أبريل 2002. وفي الاجتماع، تم تحديد خمس مجموعات عمل "ذات أولوية": الصحة العامة والاحتياجات الإنسانية، والمياه والزراعة والبيئة، والقطاع العام. المالية والحسابات والعدالة الانتقالية والتواصل العام. في الوقت نفسه، تم إصدار قائمة مؤقتة تضم 15 مجموعة عمل مع أوصاف مؤرخة في 30 أبريل 2002، بما في ذلك مجموعة عمل السياسات والمؤسسات الدفاعية، مع التوصية بـ "وضع خطط لإعادة هيكلة القوات المسلحة العراقية لتلعب دوراً غير مسيس" دور إيجابي وموحد للمشاركة في إعادة بناء المجتمع العراقي." بعد مرور عام تقريبًا، وكأحد قراراته الأولية بصفته مدير سلطة الائتلاف المؤقتة في العراق، قرر السفير ل. بول بريمر حل الجيش العراقي بالكامل (نقطة مهم 💥).
المصدر الوثيقة رقم 20020430
وفي مارس/ آذار 2002، أرسلت وزارة الخارجية إخطاراً إلى الكونجرس بقيمة 5 ملايين دولار لدعم مشروع مستقبل العراق. تم عقد أول اجتماع تخطيطي مع العراقيين في معهد الشرق الأوسط في واشنطن العاصمة في الفترة من 9 إلى 10 أبريل 2002. وفي الاجتماع، تم تحديد خمس مجموعات عمل "ذات أولوية": الصحة العامة والاحتياجات الإنسانية، والمياه والزراعة والبيئة، والقطاع العام. المالية والحسابات والعدالة الانتقالية والتواصل العام. في الوقت نفسه، تم إصدار قائمة مؤقتة تضم 15 مجموعة عمل مع أوصاف مؤرخة في 30 أبريل 2002، بما في ذلك مجموعة عمل السياسات والمؤسسات الدفاعية، مع التوصية بـ "وضع خطط لإعادة هيكلة القوات المسلحة العراقية لتلعب دوراً غير مسيس" دور إيجابي وموحد للمشاركة في إعادة بناء المجتمع العراقي." بعد مرور عام تقريبًا، وكأحد قراراته الأولية بصفته مدير سلطة الائتلاف المؤقتة في العراق، قرر السفير ل. بول بريمر حل الجيش العراقي بالكامل (نقطة مهم 💥).
المصدر الوثيقة رقم 20020430
التغريدة الثالثة/ مشروع مستقبل العراق
تنظيم وكلاء أمريكا😎 (ما يسمى بالمعارضة) في نموذج رسالة غير مؤرخة موجهة إلى "مجموعة المعارضة العراقية" من ريان كروكر، نائب مساعد وزير الخارجية السابق لشؤون الشرق الأدنى. وكتب كروكر فيه: "إن حكومة الولايات المتحدة تطلب نصيحتكم فيما يتعلق بأسماء الخبراء العراقيين والدوليين الذين يمكنهم المشاركة في سلسلة من مجموعات العمل التي ستركز على التخطيط الآن لمستقبل أفضل وأكثر ديمقراطية للشعب العراقي". يعطي النص المعياري بعض التبصر حول كيفية قيام الإدارة بتحديد الأشخاص الذين يجب البحث عنهم للحصول على الخبرة الداخلية في جهود إعادة الإعمار.
المصدر الوثيقة رقم 20020000
تنظيم وكلاء أمريكا😎 (ما يسمى بالمعارضة) في نموذج رسالة غير مؤرخة موجهة إلى "مجموعة المعارضة العراقية" من ريان كروكر، نائب مساعد وزير الخارجية السابق لشؤون الشرق الأدنى. وكتب كروكر فيه: "إن حكومة الولايات المتحدة تطلب نصيحتكم فيما يتعلق بأسماء الخبراء العراقيين والدوليين الذين يمكنهم المشاركة في سلسلة من مجموعات العمل التي ستركز على التخطيط الآن لمستقبل أفضل وأكثر ديمقراطية للشعب العراقي". يعطي النص المعياري بعض التبصر حول كيفية قيام الإدارة بتحديد الأشخاص الذين يجب البحث عنهم للحصول على الخبرة الداخلية في جهود إعادة الإعمار.
المصدر الوثيقة رقم 20020000
التغريدة الرابعة (أ)/ مشروع مستقبل العراق
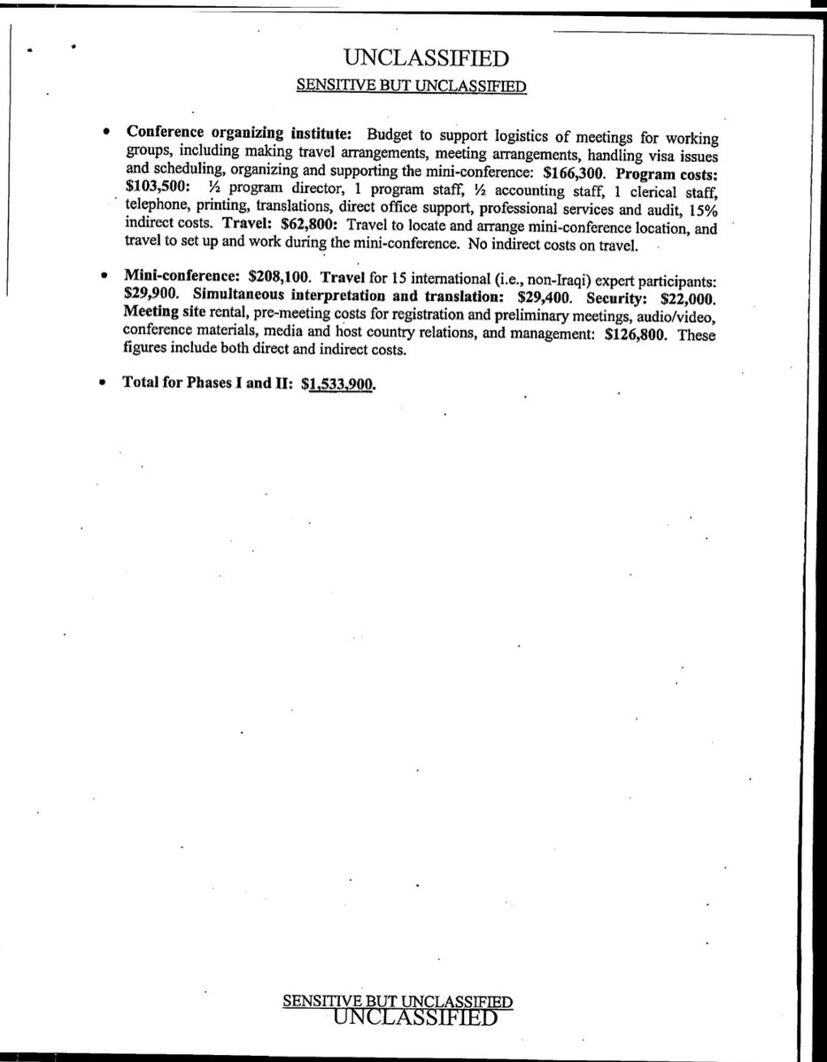
هناك وثيقتان على وجه الخصوص تفصلان المتطلبات اللازمة لعقد مؤتمرات واجتماعات مجموعات العمل، وتقترحان إنفاقًا إجماليًا قدره 1,533,900 دولار لإنشاء خمس مجموعات عمل أولية ولعقد "مؤتمر مصغر" في أوروبا يضم حوالي "40-50 عراقيًا و10 أو 10" حتى يتمكن الخبراء الدوليون من تقديم تقرير عن التقدم المحرز في تقارير العمل.
ثمنهم رخيص جداً💥
المصدر الوثيقة 20020500.
هناك وثيقتان على وجه الخصوص تفصلان المتطلبات اللازمة لعقد مؤتمرات واجتماعات مجموعات العمل، وتقترحان إنفاقًا إجماليًا قدره 1,533,900 دولار لإنشاء خمس مجموعات عمل أولية ولعقد "مؤتمر مصغر" في أوروبا يضم حوالي "40-50 عراقيًا و10 أو 10" حتى يتمكن الخبراء الدوليون من تقديم تقرير عن التقدم المحرز في تقارير العمل.
ثمنهم رخيص جداً💥
المصدر الوثيقة 20020500.
التغريدة الخامسة/ مشروع مستقبل العراق
وفيما يتعلق بمسألة التعويضات الحساسة سياسياً للعراقيين المشاركين في هذه المناورات، تؤكد مذكرة أخرى غير مؤرخة لمكتب شؤون الشرق الأدنى/شؤون الخليج الأدنى حول موضوع "الدفع للمشاركين في مجموعات العمل العراقية" على أهمية تجنب "التصور بأن "يتلقى المشاركون مدفوعات سخية من الحكومة الأمريكية، الأمر الذي قد يكون له عواقب سلبية على المشاركين وعلى مصالح الحكومة الأمريكية في عراق ما بعد صدام. بدلاً من ذلك، تقترح المذكرة "رسوم خبراء" على "بعض المشاركين في مجموعة العمل من خارج الحكومة الأمريكية وغير المرتبطين بمنظمة غير حكومية ممولة (مثل مؤسسة العراق).
معلومة مهمة 💥 لكي يتجنبوا الأنظار تم الدفع لهم (بالأسود بعيد حتى عن مصلحة الصرائب) من خلال مؤسسة مجتمع مدني تدعي أنها غير حكومية اسمها (such as the Iraq Foundation).
المصدر الوثيقة رقم 20020000
وفيما يتعلق بمسألة التعويضات الحساسة سياسياً للعراقيين المشاركين في هذه المناورات، تؤكد مذكرة أخرى غير مؤرخة لمكتب شؤون الشرق الأدنى/شؤون الخليج الأدنى حول موضوع "الدفع للمشاركين في مجموعات العمل العراقية" على أهمية تجنب "التصور بأن "يتلقى المشاركون مدفوعات سخية من الحكومة الأمريكية، الأمر الذي قد يكون له عواقب سلبية على المشاركين وعلى مصالح الحكومة الأمريكية في عراق ما بعد صدام. بدلاً من ذلك، تقترح المذكرة "رسوم خبراء" على "بعض المشاركين في مجموعة العمل من خارج الحكومة الأمريكية وغير المرتبطين بمنظمة غير حكومية ممولة (مثل مؤسسة العراق).
معلومة مهمة 💥 لكي يتجنبوا الأنظار تم الدفع لهم (بالأسود بعيد حتى عن مصلحة الصرائب) من خلال مؤسسة مجتمع مدني تدعي أنها غير حكومية اسمها (such as the Iraq Foundation).
المصدر الوثيقة رقم 20020000
التغريدة السادسة/ مشروع مستقبل العراق
تولت وزارة الخارجية - مؤقتًا على الأقل - زمام المبادرة في المشروع، كان من الطبيعي أن يتطلع مسؤولو الخارجية إلى الإدارات الأخرى للحصول على مساعدة متخصصة، على الرغم من أنهم أظهروا بعد فوات الأوان وجهة نظر متفائلة للغاية بشأن الالتزام بالوقت المطلوب. رسالة مؤرخة في 24 ديسمبر 2002 من نائب مساعد الوزير كروكر إلى المديرة السابقة لوكالة حماية البيئة (EPA) كريستين تود ويتمان، على سبيل المثال، تطلب من قسم الخدمات الدولية التابع لوكالة حماية البيئة تقديم "المساعدة والخبرة لمجموعة عمل المياه والزراعة والبيئة، على أساس غير قابل للسداد، خلال الأشهر الثلاثة إلى الستة المقبلة".
تطلب الرسالة أيضًا أن يُسمح للأمريكيين العراقيين العاملين في وكالة حماية البيئة والراغبين في المشاركة في "مشروع مستقبل العراق" "بتخصيص جزء كبير من وقتهم المهني لهذا المشروع على مدى الأشهر الثلاثة إلى الستة المقبلة.
💥 كانوا يجندون الوكلاء العراقيين في كل مرحلة من مراحل المشروع وتحت حجج كثيرة ومختلفة وتصرف لهم الأموال من وكالات متعددة.
المصدر الوثيقة رقم 20021224
تولت وزارة الخارجية - مؤقتًا على الأقل - زمام المبادرة في المشروع، كان من الطبيعي أن يتطلع مسؤولو الخارجية إلى الإدارات الأخرى للحصول على مساعدة متخصصة، على الرغم من أنهم أظهروا بعد فوات الأوان وجهة نظر متفائلة للغاية بشأن الالتزام بالوقت المطلوب. رسالة مؤرخة في 24 ديسمبر 2002 من نائب مساعد الوزير كروكر إلى المديرة السابقة لوكالة حماية البيئة (EPA) كريستين تود ويتمان، على سبيل المثال، تطلب من قسم الخدمات الدولية التابع لوكالة حماية البيئة تقديم "المساعدة والخبرة لمجموعة عمل المياه والزراعة والبيئة، على أساس غير قابل للسداد، خلال الأشهر الثلاثة إلى الستة المقبلة".
تطلب الرسالة أيضًا أن يُسمح للأمريكيين العراقيين العاملين في وكالة حماية البيئة والراغبين في المشاركة في "مشروع مستقبل العراق" "بتخصيص جزء كبير من وقتهم المهني لهذا المشروع على مدى الأشهر الثلاثة إلى الستة المقبلة.
💥 كانوا يجندون الوكلاء العراقيين في كل مرحلة من مراحل المشروع وتحت حجج كثيرة ومختلفة وتصرف لهم الأموال من وكالات متعددة.
المصدر الوثيقة رقم 20021224
التغريدة السابعة (أ) تحوي أسماء وكلاء مجند💥 / مشروع مستقبل العراق
💥 ملاحظة حق الرد مكفول للوكلاء العراقيين الذين سوف تذكر أسمائهم في الوثائق.
قسم منهم اصبحوا مسؤولين بارزين داخل الدولة العراقية.
تشير المواد الأساسية التي تم نشرها مراراً وتكراراً إلى "العراقيين" المشاركين في جلسات مجموعة العمل المختلفة - عينات مختلطة من السنة، الشيعة والأكراد . وما تبقى غير متوفر هو سجلات جميع أسماء وخلفيات المشاركين الذين يزيد عددهم عن 200 مشارك، إلى جانب معايير الدولة لاختيار هؤلاء العراقيين. في أغلبية المستندات، يتم حذف الأسماء بموجب الإعفاء ب(6) (الخصوصية الشخصية). الاستثناء الوحيد هو وثيقة "المتحدثون الرسميون العراقيون" (المدرجة أيضًا في قسم النظرة العامة على دراسة "مشروع مستقبل العراق")، والتي تذكر 88 متحدثًا باسم 12 مجموعة عمل، بما في ذلك السيد ليث كبة، وهو منفي عراقي بارز يعمل في الوقف الوطني بواشنطن. من أجل الديمقراطية، والذي شارك في مجموعة عمل المبادئ والإجراءات الديمقراطية. كما ساعد في المشروع خبراء خارجيون مثل الدكتور بيتر جالبريث (سابقًا من جامعة الدفاع الوطني)، وروبرتا كوهين (معهد بروكينجز) وماريان ليتش (CARE USA).
💥شاركة في المشروع (مشروع مستقبل العراق) مراكز بحوث أغلب خبرائها هم يحملون الجنسية المزدوجة الامريكية-الأسرائيلية.
المصدر رقم الوثيقة 2002002
💥 ملاحظة حق الرد مكفول للوكلاء العراقيين الذين سوف تذكر أسمائهم في الوثائق.
قسم منهم اصبحوا مسؤولين بارزين داخل الدولة العراقية.
تشير المواد الأساسية التي تم نشرها مراراً وتكراراً إلى "العراقيين" المشاركين في جلسات مجموعة العمل المختلفة - عينات مختلطة من السنة، الشيعة والأكراد . وما تبقى غير متوفر هو سجلات جميع أسماء وخلفيات المشاركين الذين يزيد عددهم عن 200 مشارك، إلى جانب معايير الدولة لاختيار هؤلاء العراقيين. في أغلبية المستندات، يتم حذف الأسماء بموجب الإعفاء ب(6) (الخصوصية الشخصية). الاستثناء الوحيد هو وثيقة "المتحدثون الرسميون العراقيون" (المدرجة أيضًا في قسم النظرة العامة على دراسة "مشروع مستقبل العراق")، والتي تذكر 88 متحدثًا باسم 12 مجموعة عمل، بما في ذلك السيد ليث كبة، وهو منفي عراقي بارز يعمل في الوقف الوطني بواشنطن. من أجل الديمقراطية، والذي شارك في مجموعة عمل المبادئ والإجراءات الديمقراطية. كما ساعد في المشروع خبراء خارجيون مثل الدكتور بيتر جالبريث (سابقًا من جامعة الدفاع الوطني)، وروبرتا كوهين (معهد بروكينجز) وماريان ليتش (CARE USA).
💥شاركة في المشروع (مشروع مستقبل العراق) مراكز بحوث أغلب خبرائها هم يحملون الجنسية المزدوجة الامريكية-الأسرائيلية.
المصدر رقم الوثيقة 2002002
التغريدة العاشرة (أ) / مشروع مستقبل العراق
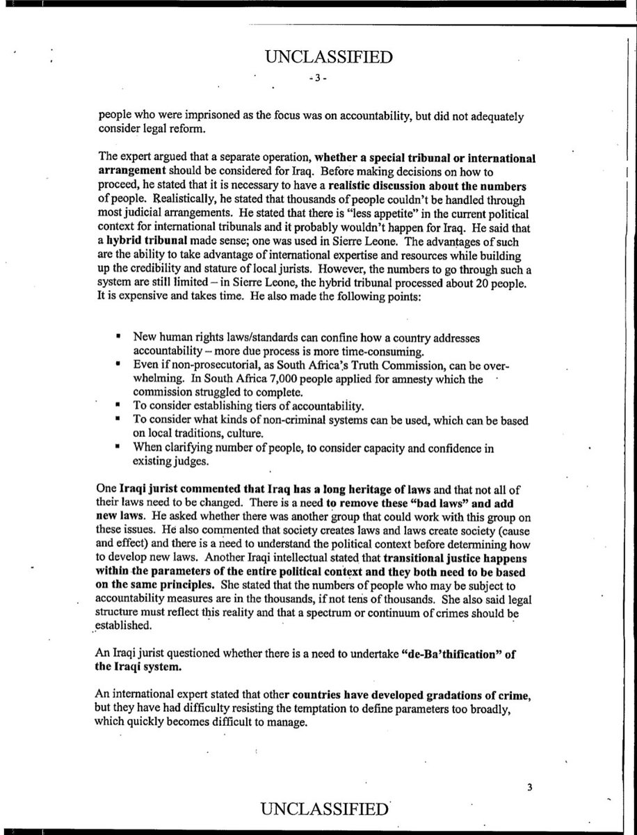
للحصول على الوثيقة الكاملة يجب عليكم ان تجمعوا بين التغريدات أ، ب، ج و د كلها وثيقة واحدة مسلسلة خاصة بتفاصيل قرار أمريكا أجتثاث البعث ضمن مشروع الأحتلال رقم الوثيقة هو 20020709.
💥تخص أمور مهمة تدعي الحكومة العراقية بعد الأحتلال انها هي من أقرت ذلك لكن في الحقيقة تكذب، منها قانون أجتثاث البعث وقانون المساءة والعادلة وقانون ادارة الدولة وكذلك حل قوى امن الدولة كل ذلك تم التخطيط له قبل أحتلال العراق عندما كان المشروع فقط حبراً على ورق.
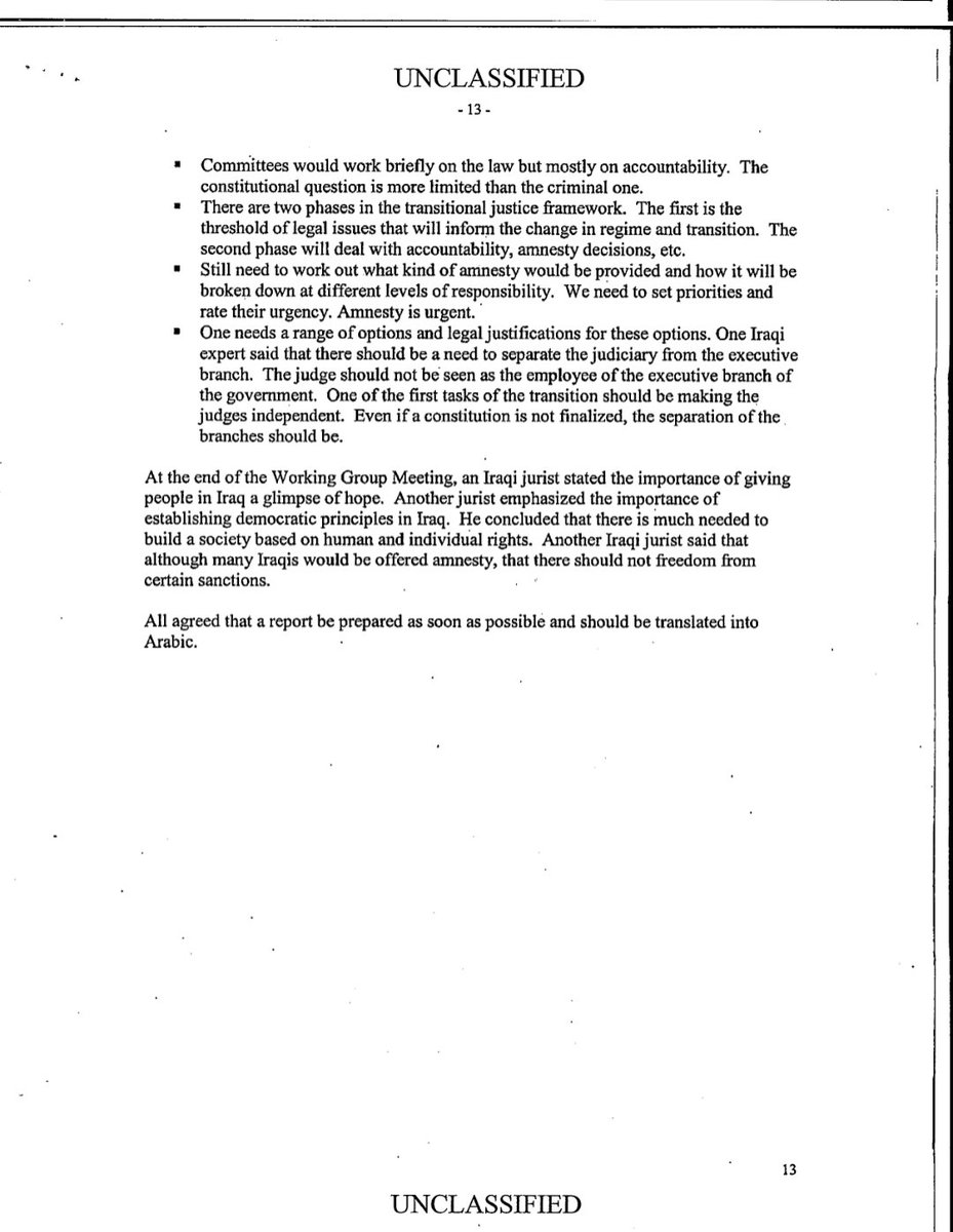
وتكشف الملخصات والتقارير المرحلية الصادرة عن اجتماعات المجموعة المعنية عن توصيات سيتم دمجها لاحقًا في دراسة "مستقبل العراق". على سبيل المثال، وفقا لملخص الاجتماع الأول لمجموعة عمل العدالة الانتقالية في الفترة من 9 إلى 10 يوليو/تموز 2002 في واشنطن، والذي ضم عشرة قانونيين عراقيين وأربعة خبراء دوليين (تم حجب الأسماء)، "طرح أحد المثقفين العراقيين مسألة البعث". إن الحزب هو في قلب المرحلة الانتقالية"، وأنه "لا يمكن مساواة العضوية الحزبية بالتجريم". في تقريرها النهائي، ستحذر مجموعة عمل المبادئ الديمقراطية من سياسة اجتثاث البعث بشكل كامل دون إعادة دمج البعثيين السابقين في المجتمع. بالإضافة إلى ذلك، وبعد الجلسة الأولى لمجموعة العمل هذه في الفترة من 4 إلى 5 سبتمبر/أيلول 2002، بحضور 30 عراقياً، "أرسل العديد من المشاركين رسالة مفادها أن حكومة الولايات المتحدة بحاجة إلى الاستعداد للبقاء لمدة خمس إلى عشر سنوات".
المصدر الوثيقة رقم 20020709.
للحصول على الوثيقة الكاملة يجب عليكم ان تجمعوا بين التغريدات أ، ب، ج و د كلها وثيقة واحدة مسلسلة خاصة بتفاصيل قرار أمريكا أجتثاث البعث ضمن مشروع الأحتلال رقم الوثيقة هو 20020709.
💥تخص أمور مهمة تدعي الحكومة العراقية بعد الأحتلال انها هي من أقرت ذلك لكن في الحقيقة تكذب، منها قانون أجتثاث البعث وقانون المساءة والعادلة وقانون ادارة الدولة وكذلك حل قوى امن الدولة كل ذلك تم التخطيط له قبل أحتلال العراق عندما كان المشروع فقط حبراً على ورق.
وتكشف الملخصات والتقارير المرحلية الصادرة عن اجتماعات المجموعة المعنية عن توصيات سيتم دمجها لاحقًا في دراسة "مستقبل العراق". على سبيل المثال، وفقا لملخص الاجتماع الأول لمجموعة عمل العدالة الانتقالية في الفترة من 9 إلى 10 يوليو/تموز 2002 في واشنطن، والذي ضم عشرة قانونيين عراقيين وأربعة خبراء دوليين (تم حجب الأسماء)، "طرح أحد المثقفين العراقيين مسألة البعث". إن الحزب هو في قلب المرحلة الانتقالية"، وأنه "لا يمكن مساواة العضوية الحزبية بالتجريم". في تقريرها النهائي، ستحذر مجموعة عمل المبادئ الديمقراطية من سياسة اجتثاث البعث بشكل كامل دون إعادة دمج البعثيين السابقين في المجتمع. بالإضافة إلى ذلك، وبعد الجلسة الأولى لمجموعة العمل هذه في الفترة من 4 إلى 5 سبتمبر/أيلول 2002، بحضور 30 عراقياً، "أرسل العديد من المشاركين رسالة مفادها أن حكومة الولايات المتحدة بحاجة إلى الاستعداد للبقاء لمدة خمس إلى عشر سنوات".
المصدر الوثيقة رقم 20020709.
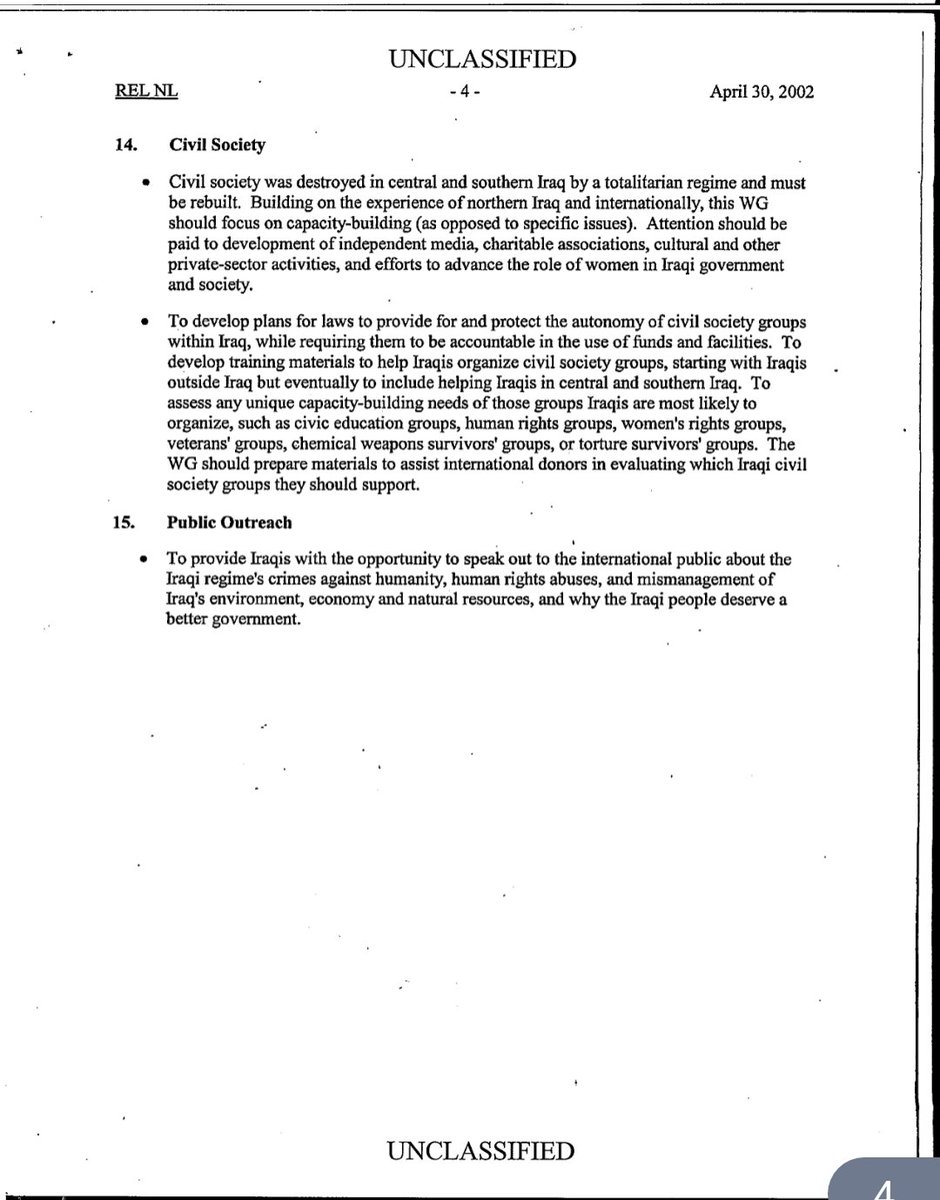
التغريدة الثانية عشر (في غاية الأهمية يجب ان تصل لكل أبناء الشعب العراقي العزيز)/ مشروع مستقبل العراق
مخلص التغريدة الأمريكا قسموا العراق الى مكونات خلال المشروع وهم من وضع مصطلح المكون السني والمكون الشيعي والمكون الكردي بل حتى خططوا لمشروع المحاصصة.
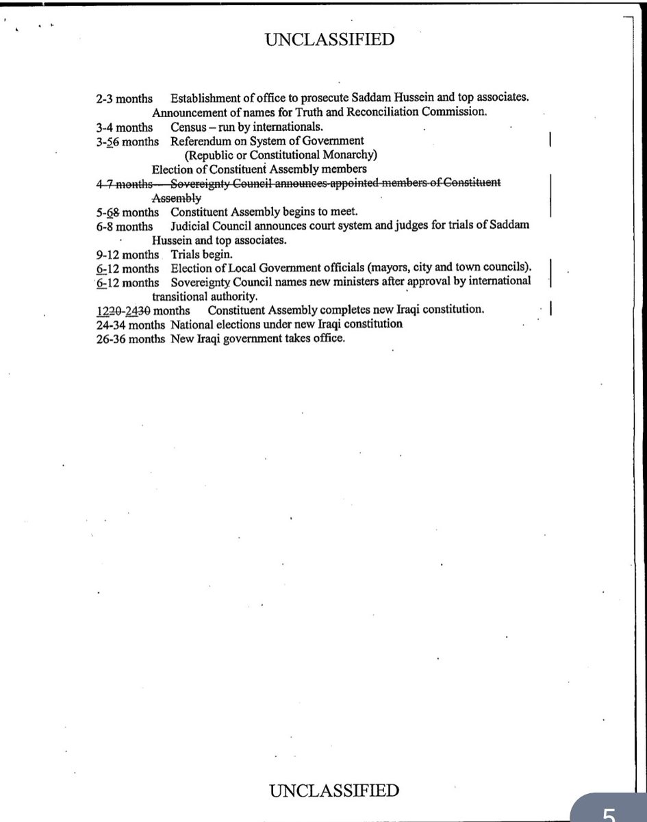
وتناقش وثيقة أخرى غير مؤرخة بعنوان "مستقبل العراق: المكون العراقي" خيارات حكومة ما بعد الحرب في العراق، بما في ذلك "مجلس السيادة" المقترح المكون من 3-5 أشخاص، والذي ستكون مهمته الأساسية الإشراف على "الانتقال إلى الديمقراطية". "وستكون من أعضاء "على أعلى مستوى من النزاهة ويحظون باحترام واسع النطاق داخل العراق". في نفس الوثيقة، ما يظهر مشطوبًا هو أسماء مقترحة لـ "أفضل المرشحين" للجلوس في مجلس السيادة، مثل عدنان الباجه جي، وهو سني عراقي ووزير خارجية سابق، بالإضافة إلى السطر "شخص مقبول". لكل من بارزاني وطالباني"، في إشارة إلى مسعود بارزاني، الرئيس الحالي لحكومة إقليم كردستان العراق، وجلال طالباني، رئيس العراق. وتحت الخط المذكور أعلاه، تخلص الوثيقة إلى أنه "من السابق لأوانه البدء في تسمية المرشحين" وتقترح إطارًا زمنيًا يتراوح بين 26 و36 شهرًا لتولي "حكومة عراقية جديدة" السلطة. في نهاية المطاف، قام بريمر بتعيين مجلس حكم مكون من 25 عضوًا في 13 يوليو 2003، والذي ضم الباجه جي والبارزاني والطالباني كأعضاء، إلى جانب أحمد الجلبي من المؤتمر الوطني العراقي وإياد علاوي، الذي شغل منصب رئيس وزراء الحكومة العراقية المؤقتة بعد عام 2003. حل سلطة الائتلاف المؤقتة في 30 يونيو 2004.
للعلم هذا قبل أحتلال العراق الامريكان كانون دقيقين في التوقيتات وحتى قبل أكتمال المشروع وارساله الى وزارة الخارجية الأمريكية لبحثه مع وزارة الدفاع ومستشارية الامن القومي.
المصدر الوثيقة رقم 20020005.
مخلص التغريدة الأمريكا قسموا العراق الى مكونات خلال المشروع وهم من وضع مصطلح المكون السني والمكون الشيعي والمكون الكردي بل حتى خططوا لمشروع المحاصصة.
وتناقش وثيقة أخرى غير مؤرخة بعنوان "مستقبل العراق: المكون العراقي" خيارات حكومة ما بعد الحرب في العراق، بما في ذلك "مجلس السيادة" المقترح المكون من 3-5 أشخاص، والذي ستكون مهمته الأساسية الإشراف على "الانتقال إلى الديمقراطية". "وستكون من أعضاء "على أعلى مستوى من النزاهة ويحظون باحترام واسع النطاق داخل العراق". في نفس الوثيقة، ما يظهر مشطوبًا هو أسماء مقترحة لـ "أفضل المرشحين" للجلوس في مجلس السيادة، مثل عدنان الباجه جي، وهو سني عراقي ووزير خارجية سابق، بالإضافة إلى السطر "شخص مقبول". لكل من بارزاني وطالباني"، في إشارة إلى مسعود بارزاني، الرئيس الحالي لحكومة إقليم كردستان العراق، وجلال طالباني، رئيس العراق. وتحت الخط المذكور أعلاه، تخلص الوثيقة إلى أنه "من السابق لأوانه البدء في تسمية المرشحين" وتقترح إطارًا زمنيًا يتراوح بين 26 و36 شهرًا لتولي "حكومة عراقية جديدة" السلطة. في نهاية المطاف، قام بريمر بتعيين مجلس حكم مكون من 25 عضوًا في 13 يوليو 2003، والذي ضم الباجه جي والبارزاني والطالباني كأعضاء، إلى جانب أحمد الجلبي من المؤتمر الوطني العراقي وإياد علاوي، الذي شغل منصب رئيس وزراء الحكومة العراقية المؤقتة بعد عام 2003. حل سلطة الائتلاف المؤقتة في 30 يونيو 2004.
للعلم هذا قبل أحتلال العراق الامريكان كانون دقيقين في التوقيتات وحتى قبل أكتمال المشروع وارساله الى وزارة الخارجية الأمريكية لبحثه مع وزارة الدفاع ومستشارية الامن القومي.
المصدر الوثيقة رقم 20020005.
جاري تحميل الاقتراحات...