د. نداء الخميس
د. نداء الخميس

@NedaaAlkhamis

8 تغريدة 4 قراءة Apr 08, 2023
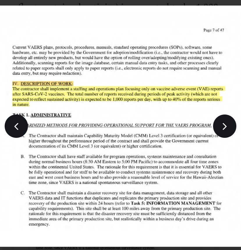
تظهر عقود CDC و FDA أنهما استعدا لكميات هائلة من الأحداث الضائرة الخطيرة قبل أشهر من طرح لقاحات Covid-19. يكشف طلب حرية المعلومات في 142 صفحة عن وثائق عقد الأحداث الضائرة للقاح Covid-19 المروعة بين CDC و FDA و General Dynamics Information Technology thecanadianindependent.substack.com
بتاريخ 27 أغسطس 2020 ، قبل أربعة أشهر من تقديم لقاحات Covid-19 لعامة السكان.
العقد مؤرخ في 27 أغسطس 2020 ، بدأت لقاحات Covid-19 في الانتشار للسكان في منتصف ديسمبر 2020.
يوضح العقد أن مراكز السيطرة على الأمراض والوقاية منها وإدارة الغذاء والدواء تسعى للحصول على مساعدة من شركة…
ما ينذر بالخطر للغاية هو قسم "وصف العمل" في العقد. تقول ، "يجب على المقاول تنفيذ خطة التوظيف والعمليات التي تركز فقط على تقارير الأحداث الضائرة للقاح (VAE) بعد لقاحات SARS-CoV-2. من المتوقع أن يبلغ العدد الإجمالي للتقارير الواردة خلال فترات ذروة النشاط (والتي لا يُتوقع أن تعكس…
لذلك ، للتلخيص ، أعدت مراكز السيطرة على الأمراض والوقاية منها (CDC) وإدارة الغذاء والدواء (FDA) عقدًا قبل 4 أشهر من بدء تطبيق اللقاح وتوقعت 1000 حدث ضار يوميًا (7000 في الأسبوع) ، تم تقدير 40 ٪ منها على أنها خطيرة.
في مارس 2021 ، بعد حوالي ثلاثة أشهر ونصف من تقديم لقاحات…
عقد آخر معدل بعد عدة أشهر ، في 24 سبتمبر 2021 ، بين CDC و FDA و General Dynamics Information Technology يظهر أن مركز السيطرة على الأمراض وإدارة الغذاء والدواء يطلبان الآن من الشركة معالجة ما لا يقل عن 13000 تقرير أحداث سلبية إضافية في الأسبوع على مدى الأشهر الستة المقبلة .
قاموا…
بالإضافة إلى ذلك ، اكتشفت أن شركة Eagle Health Analytics قد حصلت على عقد منفصل من مركز السيطرة على الأمراض وإدارة الغذاء والدواء بتاريخ 8 يوليو 2021. وكجزء من هذا العقد ، يسعون للحصول على المساعدة في أشياء مختلفة ، بما في ذلك دعم المسؤولين الطبيين وعلماء الأوبئة لبرنامج VAERS.…
تلقى نظام الإبلاغ عن الأحداث الضائرة أكثر من 1.5 مليون تقرير عن الأحداث الضائرة المتعلقة بلقاحات Covid-19 من ديسمبر 2020 إلى مارس 2023. وتشمل التقارير أقل من 35 ألف حالة وفاة ، وحوالي 200 ألف حالة دخول في المستشفى ، وأكثر من 64 ألف إعاقة دائمة ، وأكثر من 1200 عيوب خلقية.
تُظهر بيانات VAERS أن لقاحات Covid-19 لديها تقارير أحداث سلبية أعلى للغاية ، بما في ذلك الاستشفاء ، والعجز الدائم ، والعيوب الخلقية ، والوفاة ، مقارنة بجميع اللقاحات التاريخية الأخرى مجتمعة على مدار 33 عامًا.
من الجدير بالذكر أنه وفقًا لإدارة الغذاء والدواء. "لا تتلقى معظم…

جاري تحميل الاقتراحات...