ألبيرت بيرين (نائب لابورتا بولايته الأولى) : الممرات (الحكام) لديها تكلفة، الوقت والمال.
#barcagate
#barcagate
كلوس غوميز هو المسؤول عن الفار والذي أخبر نيغريرا برشلونه في 2020 بأنه سيتواصل معه إن دفعوا له.
كلوس غوميز الذي كان دائماً وفياً لبرشلونه ومفضل لديهم، أدار لهم 31 لقاء:
25 فوز
5 تعادل
1 هزيمة (ضد بيتيس 0-1 بإياب الكأس بعد أن فازوا بالذهاب 5-0).
#barcagate
كلوس غوميز الذي كان دائماً وفياً لبرشلونه ومفضل لديهم، أدار لهم 31 لقاء:
25 فوز
5 تعادل
1 هزيمة (ضد بيتيس 0-1 بإياب الكأس بعد أن فازوا بالذهاب 5-0).
#barcagate
"الحديث عن العفو في غير محله، والحكم موجود ليتحقق"
كارمن تالون رئيسة مكتب المدعي العام في برشلونة في فبراير 2018، بعد أشهر من بدأ التحقيق بفضيحة #barcagate .
كارمن أمس إضطرت للإستقالة بسبب الضغوطات، وقبل ساعات قليلة من إستلام الشكوى.
لاشيء صدفة.
#barcagate
كارمن تالون رئيسة مكتب المدعي العام في برشلونة في فبراير 2018، بعد أشهر من بدأ التحقيق بفضيحة #barcagate .
كارمن أمس إضطرت للإستقالة بسبب الضغوطات، وقبل ساعات قليلة من إستلام الشكوى.
لاشيء صدفة.
#barcagate
"الحكومة لن تدع برشلونه يسقط كنادي، هناك قليل من المنطق بذلك"
هذا ما أخبره مصدر من نادي برشلونه لصحيفة فوزبوبولي.
#barcagate
هذا ما أخبره مصدر من نادي برشلونه لصحيفة فوزبوبولي.
#barcagate
لابورتا غير قلق لأنه لن يحاسب بحجة التقادم، سيكون المذنب هو بارتوميو.
غير مدركين ردة فعل الفيفا أو اليويفا بعد إدانتهم من المحكمة، خاصة بالقضايا الذي لم يمضي عليها 10 سنوات وسبق لهم تطبيقها على أكثر من نادي بمنعهم من المشاركة الخارجية.
#barcagate
غير مدركين ردة فعل الفيفا أو اليويفا بعد إدانتهم من المحكمة، خاصة بالقضايا الذي لم يمضي عليها 10 سنوات وسبق لهم تطبيقها على أكثر من نادي بمنعهم من المشاركة الخارجية.
#barcagate
لابورتا: برشلونه لم يشتري حكام أبداً. ولم يرغب في التأثير. أقول ذلك بشكل قاطع. لن يتضرر برشلونه من هذه القضية. على أي حال، نحن ضحية. لا أعرف نائب رئيس لجنة الحكام.
واضح أنك لا تعرفه
#barcagate
واضح أنك لا تعرفه
#barcagate
النيابة العامة قدمت دعوى رسمية
تتهم فيها:
1- نائب الرئيس السابق للجنة الحكام خوسيه نيغريرا.
2- الرئيسين السابقين ليرشلونه، روسيل وبارتوميو.
3- مديريهم، أوسكار غراو وألبرت سولير.
4- نادي برشلونه كشخصية إعتبارية
#barcagate
تتهم فيها:
1- نائب الرئيس السابق للجنة الحكام خوسيه نيغريرا.
2- الرئيسين السابقين ليرشلونه، روسيل وبارتوميو.
3- مديريهم، أوسكار غراو وألبرت سولير.
4- نادي برشلونه كشخصية إعتبارية
#barcagate
لإرتكاب جريمة مستمرة تتعلق بالفساد في الأعمال التجارية، الإحتيال الرياضي، وجريمة أخرى تتعلق بالإدارة غير العادلة ومستند تجاري مزور.
#barcagate
#barcagate
أشار مكتب المدعي العام:
أنه من خلال الرئيسين روسيل وبارتوميو، توصل برشلونه إلى إتفاق شفهي سري للغاية وحافظ عليه مع المتهم نيغريرا ، وذلك بصفته نائب رئيس اجنة الحكام ومقابل المال لتنفيذ الإجراءات التي تميل إلى تفضيل برشلونة في اتخاذ قرارات الحكام في المباريات التي يلعبها النادي
أنه من خلال الرئيسين روسيل وبارتوميو، توصل برشلونه إلى إتفاق شفهي سري للغاية وحافظ عليه مع المتهم نيغريرا ، وذلك بصفته نائب رئيس اجنة الحكام ومقابل المال لتنفيذ الإجراءات التي تميل إلى تفضيل برشلونة في اتخاذ قرارات الحكام في المباريات التي يلعبها النادي
التحقيقات الأولية الذي أجراها مكتب المدعي العام طلب من الموظفين المعنيين الذي نفذوا الإتفاقية ببرشلونه نسخة من مقاطع الفيديو أو الوثائق أو التقارير التي تم فيها تنفيذ العمل الاستشاري المحدد من طرف نيغريرا، وكان الرد أنهم لم يعثروا على الوثائق المطلوبة.
#barcagate
#barcagate
بأحد الدفعات كتبوا أنها مقابل سفر نيغريرا لمشاهدة مونديال 2014 وتقديم تقارير لهم عن البطولة 😂
#barcagate
#barcagate
1- فساد في الأعمال التجارية
2- الإحتيال الرياضي
3- جريمة تتعلق بالإدارة غير العادلة
4- تزوير مستندات
التهم الموجهة لهم أكبر مما يصوره البعض.
خصم نقاط، سحب ألقاب، تهبيط للدرجة 2 أو 3 .. كل ذلك ممكن.
#barcagate
2- الإحتيال الرياضي
3- جريمة تتعلق بالإدارة غير العادلة
4- تزوير مستندات
التهم الموجهة لهم أكبر مما يصوره البعض.
خصم نقاط، سحب ألقاب، تهبيط للدرجة 2 أو 3 .. كل ذلك ممكن.
#barcagate
قلقهم الأكبر بكيف ستكون ردة فعل اليويفا والفيفا .. العقوبات ستكون أكبر مما يتوقعون. وكل شيء يسرع من تحول النادي لشركة خاصة.
#barcagate
#barcagate
موغي حتى هذه اللحظة ينكر كل شيء، حتى اليوم ينكر بأنه إشترى الحكام متذرعاً بأنه خسر الدوري بآخر جولة في موسم 00-01.
هو لم يشتري الحكام بل اللجنة بأكملها ويتذرع بأنه خسر الدوري .. هل يذكركم ذلك بشيء؟!
#barcagate
هو لم يشتري الحكام بل اللجنة بأكملها ويتذرع بأنه خسر الدوري .. هل يذكركم ذلك بشيء؟!
#barcagate
الحساب الحقيقي لألقاب الدوري بدون نيغريرا.
#barcagate
#barcagate
مورينهو أكثر من كان يعلم .. مورينهو دائماً على حق.
#barcagate
#barcagate
البعض لا يتذكر هذه اللقطة الشهيرة من مورينهو عندما كان مدرب للإنتر واحتج بها على التحكيم.
#barcagate
#barcagate
الموندو وضعت الخبر بالصفحة الأولى
الماركا وضعته بأعلى الصفحة بخط صغير
ببرشلونه لم يذكروه وكأنهم إن فعلوا ذلك فهو غير موجود
#barcagate
الماركا وضعته بأعلى الصفحة بخط صغير
ببرشلونه لم يذكروه وكأنهم إن فعلوا ذلك فهو غير موجود
#barcagate
هذا هو الغلاف المفترض لصحيفة تورينو .
#barcagate
#barcagate
بيكيه: لم يتم رفعنا، لم نسقط أنفسنا، لم نشتري الحكام، فقط لعبنا كرة القدم.
واضح أن بيكيه كان يكذب على الحميع وليس فقط على شاكيرا.
#barcagate
واضح أن بيكيه كان يكذب على الحميع وليس فقط على شاكيرا.
#barcagate
سنرى التطورات بقادم الأيام
الواضح أن كل يوم يمر يكون أسوء من اليوم الذي سبقه بالنسبة للمتهمين
#BarcaGate
الواضح أن كل يوم يمر يكون أسوء من اليوم الذي سبقه بالنسبة للمتهمين
#BarcaGate
"مكتب المدعي العام لمكافحة الفساد"
تحويل القضية من المدعي العام لهذا المكتب دليل أنه شاهد أدلة على فساد وجريمة منظمة
والبعض لازال يقول أنه لايوجد دليل ولن تكون هناك عقوبات !
#BarcaGate
تحويل القضية من المدعي العام لهذا المكتب دليل أنه شاهد أدلة على فساد وجريمة منظمة
والبعض لازال يقول أنه لايوجد دليل ولن تكون هناك عقوبات !
#BarcaGate
في فبراير 2017 سرّب إبن نيغريرا إلى مدير برشلونه (ألبرت سولير) حكم نهائي كأس الملك 2017 ، قبل 3 أشهر:
"سيكون كلوس غوميز"
الهدف الذي جعل برشلونه في يتقدم في النتيجة 2-1 كان من تسلل واحتسبه كلوس غوميز.
#barcagate
"سيكون كلوس غوميز"
الهدف الذي جعل برشلونه في يتقدم في النتيجة 2-1 كان من تسلل واحتسبه كلوس غوميز.
#barcagate
يقول إيتورالدي بأن نيغريرا لم تكن لديه سلطة أو تأثير بلجنة الحكام، رغم كونه نائب رئيس لجنة الحكام.
لكن إبنه يعلم عن حكم نهائي كأس الملك قبل اللقاء بثلاث أشهر.
إيتورالدي لا يخرج من ثلاث إحتمالات:
أحمق، فاسد .. أحمق وفاسد.
#barcagate
لكن إبنه يعلم عن حكم نهائي كأس الملك قبل اللقاء بثلاث أشهر.
إيتورالدي لا يخرج من ثلاث إحتمالات:
أحمق، فاسد .. أحمق وفاسد.
#barcagate
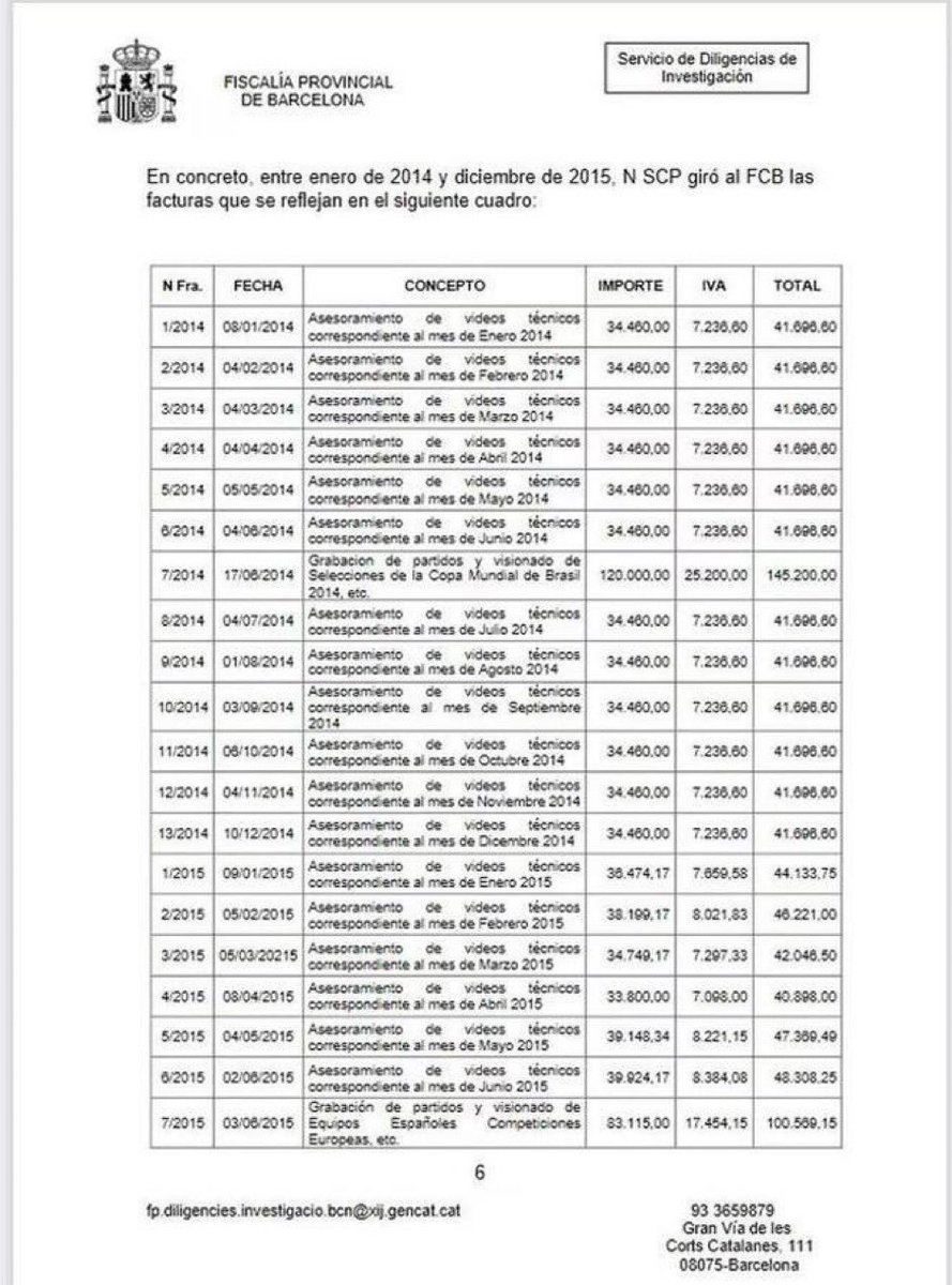
المدعي العام يوجه تهمة دفع شركة رادامانتو SL المملوكة لكونتريراس (توفي في ديسمبر 22) أحد مدراء برشلونه السابقن لنيغريرا مبلغ 22 مليون €.
#barcagate
#barcagate
مجموع ما دفعوه خلال 30 سنة يصل لقرابة 50 مليون € عن طريق عدة شركات. هي منظومة مافيا وليس مجرد فساد.
#BarcaGate
#BarcaGate
جاري تحميل الاقتراحات...