مريم | بيانات
مريم | بيانات

@mrym_data

7 تغريدة 2 قراءة Apr 26, 2023
🚨ثريد |
👈ما هي فترة الثقة وكيف تقوم بحسابها تفسيرها ⁉️
#احصاء #تحليل
ما هي فترة الثقة ⁉️
دعونا نفهمها باستخدام مثال.
لنفترض أن أحد مراكز التسوق يريد تقدير عدد العملاء الذي يحصل عليه من الساعة 9 صباحًا حتى الساعة 12 ظهرًا في أيام الأسبوع.
نحن نتحدث عن متوسط ​​عدد العملاء في المركز التجاري في أيام الأسبوع بين الساعة 9 صباحًا و 12 ظهرًا.
كيف يتعاملون مع المشكلة ؟
يمكن الاعتماد على العينة مع ان يكون حجمها اعلى من 30 ونستخدم نظرية النهاية المركزية .
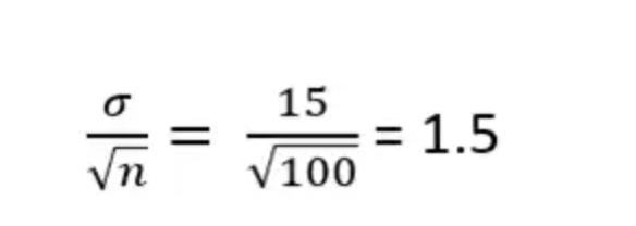
يمكنهم أخذ عينات من حوالي 100 يوم من أيام الأسبوع ثم حساب المتوسط. افترض أن المتوسط ​​المحسوب هو 42 شخصًا.
افترض أن الانحراف المعياري للمجتمع كان 15.
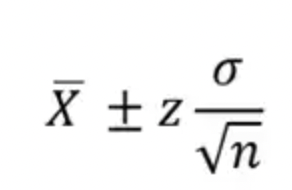
ونحسب المعادلة في الشكل الموضح 👇
كيف يتم تقدير متوسط العينة بالاعتماد على الصياغة السابقة؟
( حساب فترة الثقة لمتوسط العينة عند فترة ثقة 95%)
👈 حساب هامش الخطآ عند نسبة ثقة 95% .
#تحليل #احصاء
👈 الصيغة النهائية لحساب فترة الثقة 👇
بالعودة الي مثال التسوق يمكن حساب الحد الاعلى والادنى للفترة
هذا يعني أننا واثقون بنسبة 95٪ من أن المتوسط ​​الحقيقي لعدد العملاء في المركز التجاري في أيام الأسبوع بين الساعة 9 صباحًا و 12 ظهرًا سينخفض ​​ما بين 32 إلى 51 شخصًا.
#تحليل #احصاء

جاري تحميل الاقتراحات...