Raed  Alharbi رائد الحربي
Raed Alharbi رائد الحربي

@raedalharbi14

10 تغريدة 1 قراءة Sep 17, 2022
رغم أن #الكمبيوتر_الكمومي #QuantumComputing لا تزال في بداياتها إلا أنهاقد تغير الطريقة التي نتعامل فيها مع الكمبيوتر كليا او أرى أنهاقد تتراجع مثل ما حصل مع blockchain !!
ححاول اشرح ما هيامن وجهة نظر تقنية وما الاسئلة الي مالها اجابات.
وما الممكن تغيره من ناحية مجال الحاسب👇
طبعا ما قصر دكتور حزام شرحها بالتفصيل هنا
(١) المقصود في ان الحوسبة الكمومية في بدايتها هو فعليا مثل بدايات اختراع الكمبيوتر من بداية محاولة التعامل مع أبسط الأشياء كجمع عددين مثلا !! والسبب؟ من يومنا ونعرف الكمبيوتر أنه يتعامل مع 0 و 1، الفرق أنه هناك اكتشاف فيزيائي أدى لقدرتنا على التعامل مع الاثنين مع بعضهم البعض.
هاذي تعرف بالكيوبت (qubit). حسب ما نشوف ونقرأ أنه يقدر يتعامل مثلا مع 0 و 1 مع بعض وغيره. أول سؤال جاء في بالي، هل يعتبر الكمبيوتر الكمومي Turning machine؟ والتي تتكون من مجموعة لا متناهية من tape (تخيلها كذاكرة) والتي تُنفذ على مجموعة bits في النهاية (يعني 0 او 1).
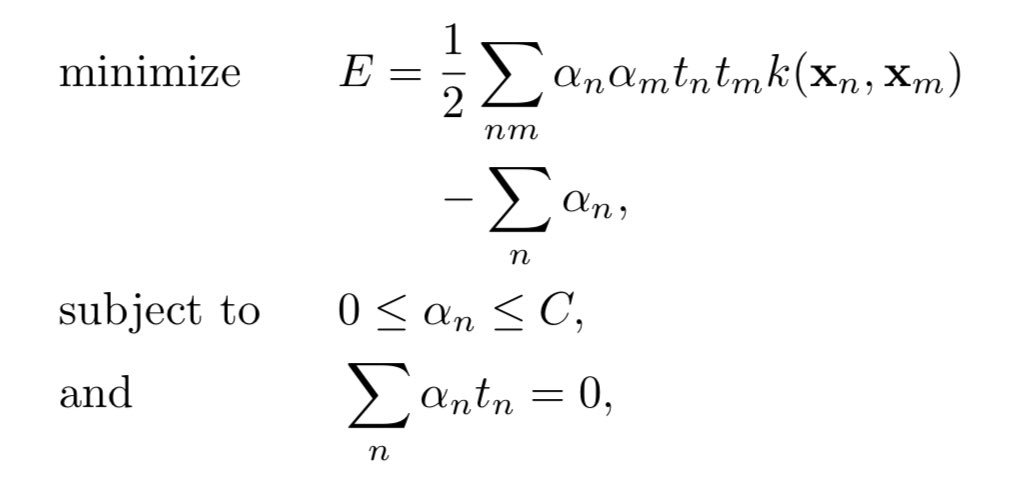
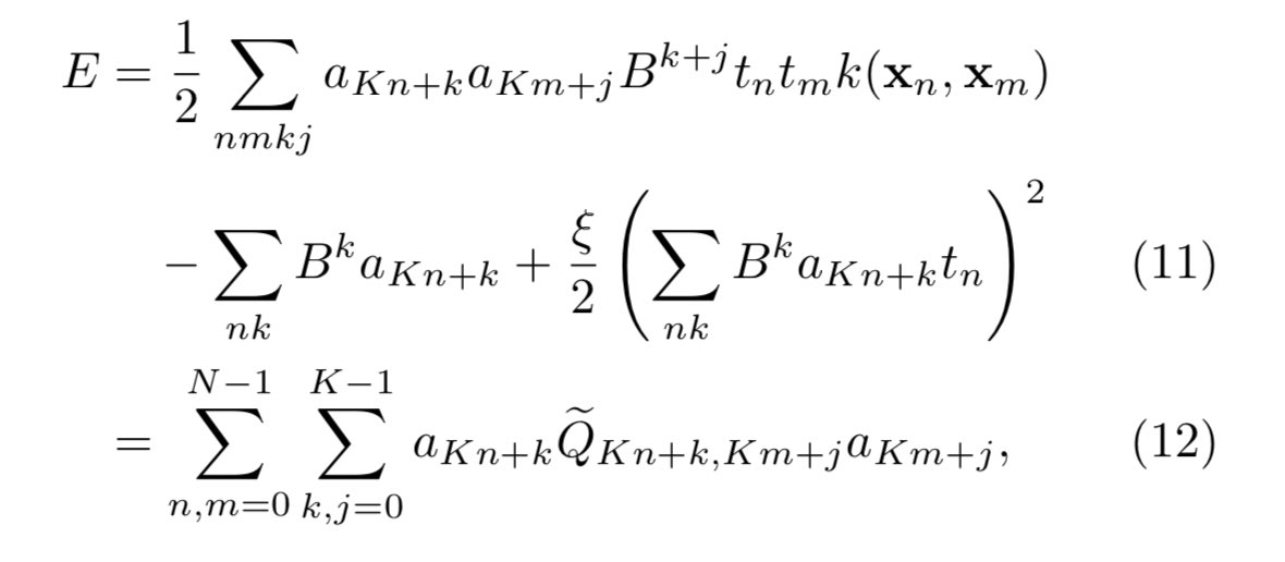
وجدت ورقة علمية مقترحة quantum SVM على غرار ال SVM العادي المستخدم في تعلم الآلة. لاحظ الصور على اليسار، طريقة تدريب الSVM العادي لحل مشكلة quadratic problem واليمين هو الquantum svm المقترح.
الشي الملاحظ انه bias في في العادي هو fixed بعكس الكمومي. ايضا أكثر سؤال كنت ابغى له اجابة وهو ليه هذا التحويل من الصورة على اليمين لليسار؟ مدام نقدر نستخدم الSVM العادي. الاجابة هيا أن API المستخدم يتطلب هذا النوع من التحويل. وهذا يعني أنه طريقة التعامل مع optimization مختلفة.
أغلب الخوارزميات التي لاحظتها يكون ناتجها probabilistic. هل هذا يعني انه يتعامل مع probabilistic بدال 1و0 مع بعض؟ ممكن حسب ما أشوف لكن مو أكيد لان فيه نقاش على هذا الموضوع.
(٢) قدرة الكمبيوتر الكمومي على تخزين 2 bits في نفس الوقت تعني احتمالية مهاجمة وكسر خوارزميات التشفير بشكل عام، والعملات الرقمية. وبالتالي، خسارة كبيرة خصوصا لمحبي العملات الرقمية، لكن ما اتوقع هذا في المستقبل القريب لان هالنوع من الكمبيوترات الى الان حكر على الشركات العملاقة.
(3) أسئلة كثيرة مالها إلى الان مالها إجابة مثل: هل خلاص حنستغني على أنظمة التشغيل الحالية مثل وندوز لينكس؟ هل هيا حقبة جديدة تغير معنى مفهوم الكمبيوتر الذي اعتدنا عليه؟ هل ممكن نحل مشكلة NP-complete problems؟
وفي الختام ميزة الكمبيوتر الكمومي الأساسية هيا سرعته وكفائته العالية. الكمبيوتر قادر على كل المسائل الرياضية المعقدة والتي قد تستغرق عقود حتى باستخدام supercomputer الحالية! فلك أن تتخيل ماذا يمكننا أن نفعل؟

جاري تحميل الاقتراحات...