ثريد||متعب
ثريد||متعب

@Th_MT3B

3 تغريدة Aug 21, 2022
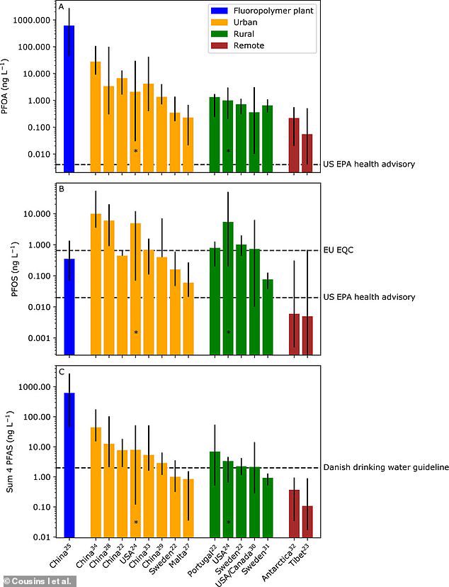
كشفت دراسة حديثة من جامعة ستوكهولم أن مياه الأمطار سوف تصبح غير صالحة للبشر والتي تعد المصدر الرئيسي للمياه للأرض، بسبب احتوائها على مواد كيميائية خطرة تسمى "مواد الإكليل المشبع بالفلور" الصادرة من ملوثات المصانع تنبعث للهواء ثم تصل لغلاف الجوي وتعود للأرض عن طريق المطر الحمضي.
بالتالي يجعل مياه الأمطار غير صالحة للشرب وتضر في التربة وتتسرب لمياه الجوفية بسبب استخدمات البشر للمواد الضارة ولأبد من تدخل المجتمع الدولي
الدراسة كشفت أيضا أن المصانع ليست المسؤولة الوحيدة بل حتى الأفراد مثلا استخدام النيتروجين والفوسفور الذي يزيد من حموضة المياه الجوفية.

جاري تحميل الاقتراحات...