📌 الأعراض:
قد يطلب الطبيب اختبار إنزيم القلب إذا كانت لديك أعراض مشكلة قلبية محتملة. تشمل هذه الأعراض:
🔸 ألم صدر.
🔸 دوخة.
🔸غثيان.
🔸 التعرق الغزير.
🔸 ضيق في التنفس.
قد يطلب الطبيب اختبار إنزيم القلب إذا كانت لديك أعراض مشكلة قلبية محتملة. تشمل هذه الأعراض:
🔸 ألم صدر.
🔸 دوخة.
🔸غثيان.
🔸 التعرق الغزير.
🔸 ضيق في التنفس.
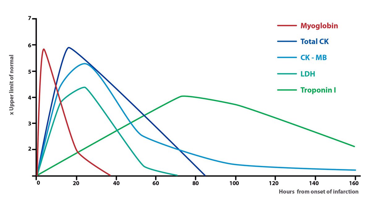
Troponin (I or T)
هذه هي الاختبارات القلبية الأكثر طلبًا والأكثر تحديدًا، عادةً ما تقيس معظم المستشفيات أحدهما أو الآخر، وكلاهما حساس بنفس الدرجة. تبدأ بالارتفاع بعد 3-4 ساعات من إصابة القلب وتبقى مرتفعة في الدم حتى ١٤ يوم.
هذه هي الاختبارات القلبية الأكثر طلبًا والأكثر تحديدًا، عادةً ما تقيس معظم المستشفيات أحدهما أو الآخر، وكلاهما حساس بنفس الدرجة. تبدأ بالارتفاع بعد 3-4 ساعات من إصابة القلب وتبقى مرتفعة في الدم حتى ١٤ يوم.
CK & CK-MB
تم إستبدال اختبار CK إلى حد كبير بالتروبونين. CK-MB هو شكل معين من إنزيم CK ويوجد في الغالب في عضلة القلب. إنزيم CK يرتفع عندما يكون هناك تلف في خلايا عضلة القلب ويمكن استخدامه بعد ارتفاع CK. تبدأ بالارتفاع بعد 3-6 ساعات من إصابة القلب وتبقى مرتفعة في الدم حتى 3 أيام.
تم إستبدال اختبار CK إلى حد كبير بالتروبونين. CK-MB هو شكل معين من إنزيم CK ويوجد في الغالب في عضلة القلب. إنزيم CK يرتفع عندما يكون هناك تلف في خلايا عضلة القلب ويمكن استخدامه بعد ارتفاع CK. تبدأ بالارتفاع بعد 3-6 ساعات من إصابة القلب وتبقى مرتفعة في الدم حتى 3 أيام.
Myoglobin
يمكن استخدام هذا الاختبار مع تروبونين للكشف المبكر عن النوبة القلبية، ولكن قل استخدامه مؤخرا. تبدأ بالارتفاع بعد 2-3 ساعات من إصابة القلب وتبقى مرتفعة في الدم حتى يوم واحد.
يمكن استخدام هذا الاختبار مع تروبونين للكشف المبكر عن النوبة القلبية، ولكن قل استخدامه مؤخرا. تبدأ بالارتفاع بعد 2-3 ساعات من إصابة القلب وتبقى مرتفعة في الدم حتى يوم واحد.
BNP (or NT-proBNP)
على الرغم من أنها تستخدم عادةً للتعرف على الفشل القلبي، إلا أن زيادة المستوى لدى الأشخاص المصابين بمتلازمة الشريان التاجي الحادة تشير إلى زيادة خطر تكرار النوبات القلبية.
على الرغم من أنها تستخدم عادةً للتعرف على الفشل القلبي، إلا أن زيادة المستوى لدى الأشخاص المصابين بمتلازمة الشريان التاجي الحادة تشير إلى زيادة خطر تكرار النوبات القلبية.
High-Sensitivity C-reactive protein (hs-CRP)
يرتفع عادة عند وجود الالتهاب، وقد يساعد في تحديد مخاطر الأحداث القلبية المستقبلية لدى المرضى الذين أصيبوا بنوبة قلبية.
يرتفع عادة عند وجود الالتهاب، وقد يساعد في تحديد مخاطر الأحداث القلبية المستقبلية لدى المرضى الذين أصيبوا بنوبة قلبية.
Aspartate aminotransferase (AST)
الإنزيم يوجد في الغالب في الكبد، ولكنه موجود أيضًا في العضلات والأعضاء الأخرى في الجسم. يشير ارتفاعه مع إنزيم ALT إلى وجود مشكلة في الكبد، الا أن ارتفاعه مع بقاء ALT بالمستوى الطبيعي يشير الى مشكلة أخرى قد تكون قلبية.
الإنزيم يوجد في الغالب في الكبد، ولكنه موجود أيضًا في العضلات والأعضاء الأخرى في الجسم. يشير ارتفاعه مع إنزيم ALT إلى وجود مشكلة في الكبد، الا أن ارتفاعه مع بقاء ALT بالمستوى الطبيعي يشير الى مشكلة أخرى قد تكون قلبية.
Lactate dehydrogenase (LDH)
يوجد الإنزيم في جميع أنسجة الجسم تقريبًا ، بما في ذلك تلك الموجودة في الدم والقلب والكلى والدماغ والرئتين. ويستخدم عادة لإكتشاف ما إذا كان لديك تلف في الأنسجة.
يوجد الإنزيم في جميع أنسجة الجسم تقريبًا ، بما في ذلك تلك الموجودة في الدم والقلب والكلى والدماغ والرئتين. ويستخدم عادة لإكتشاف ما إذا كان لديك تلف في الأنسجة.
📌بالمختصر:
🔸 تعد اختبارات تروبونين هي الأهم ويوجد في جميع المختبرات Trop I or Trop T
🔸 بدأت الشركات التجارية تتنافس ويوجد اختبار High-sensitivity troponin بمميزات أكثر من التروبينين العادي
🔸 يندر وجود اختبارات Myoglobin و CK-MB لاستبدالهما بالتروبونين
🔸 تعد اختبارات تروبونين هي الأهم ويوجد في جميع المختبرات Trop I or Trop T
🔸 بدأت الشركات التجارية تتنافس ويوجد اختبار High-sensitivity troponin بمميزات أكثر من التروبينين العادي
🔸 يندر وجود اختبارات Myoglobin و CK-MB لاستبدالهما بالتروبونين
🔸قد يطلب اختبار CK-MB كاختبار اضافي فقط عند ارتفاع انزيم CK.
🔸 توفر المختبرات إما تحليل BNP أو NT-proBNP ونادرا ما يجمع بينهمها
🔸توجد عادة اختبارات AST و LDH لإعطاء دلالات على العديد من المشاكل ولكنها لاتتميز بتخصصها للقلب.
🔸 توفر المختبرات إما تحليل BNP أو NT-proBNP ونادرا ما يجمع بينهمها
🔸توجد عادة اختبارات AST و LDH لإعطاء دلالات على العديد من المشاكل ولكنها لاتتميز بتخصصها للقلب.
جاري تحميل الاقتراحات...