9 تغريدة 20 قراءة Mar 20, 2023
✨Glycolysis
⬅️ طاقة=تحلل السكر
⬅️تحلل السكر=glycolysis
يمر مسار glycolysis بعدة خطوات و كل خطوة تحتاج أنزيم محفز علشان يتكون في النهاية ناتج.
*يعني أحتاج وقت أكثر علشان أحفظ+أفهم.
طيب كيف ممكن نبسط على بعض واحد من أهم مسارات تحلل السكر❔🤔
⁃فضلوا التغريدة وتابعوا الثريد👇🏻✨
📎معلومات بسيطة عن glycolysis:
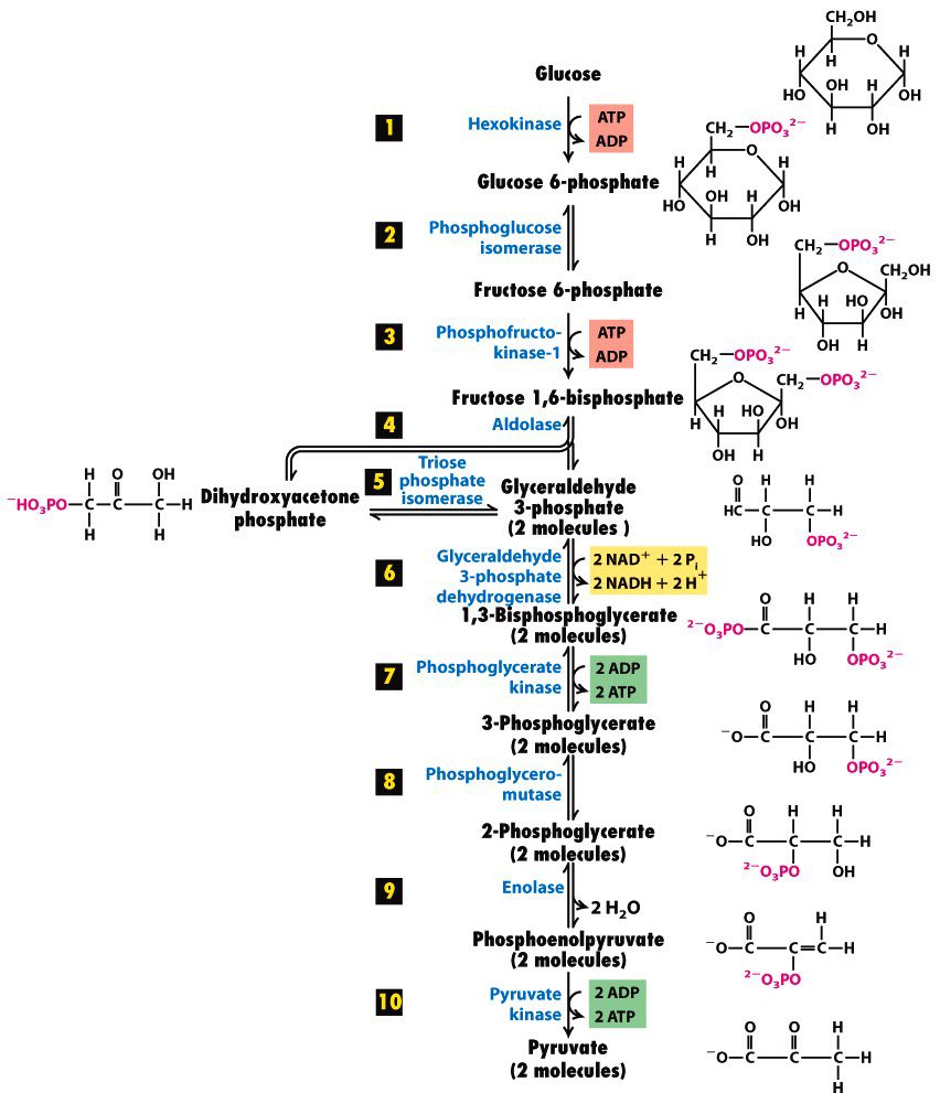
- تتكون من ١٠ خطوات ( كل خطوة فيها ناتج + أنزيم ).
- هوائي .
- الطاقة الناتجة ( 8 ATP).
- أحد أهم المسارات المستخدمة داخل جسم الكائن الحي لتحلل السكر.
النواتج من الخطوات ١٠🔽
اختصارها:
“Goodness Gracious, Father Franklin Did Go By Picking Pumpkins (to) Prepare Pies.”
( to ) مجرد اداء تكميلة للجملة✔️
تفصيل الجملة..🔽
Goodness :Glucose
Gracious: Glucose-6-P
Father: Fructose-6-P
Franklin: Fructose-1,6-Bisphosphate
Did: Dihydroxyacetone-P
Go: Glyceraldehyde-P
By: 1,3-Biphosphoglycerate
Picking: 3-Phosphoglycerate
Pumpkins: 2-Phosphoglycerate (to)
Prepare: Phosphoenolpyruvate [PEP]
Pies: Pyruvate
طيب كذا خلصنا من الناتج من كل خطوة 👏🏻
فاضل لنا الأنزيم اللي حيشتغل على كل خطوة كيف ممكن نختصرها❔🤔
الانزيمات ⬇️
"Helen paints picture along the ( training) ground praying people enjoy painting."
( training )كلمة تكملية لمفهوم الجملة✔️
تفصيل الجملة🔽
Helen : Hexokinase
Paints : Phosphoglucose isomerase
Picture: PFK-1
Along: aldolase
The : Triose phosphate isomerase
Ground : Glyceraldehyde 3-phosphate dehydrogenase
Praying : Phosphoglycerate kinase
People: Phosphoglycerate mutase
Enjoy: Enolase
Painting: Pyruvate kinase
دائما النظرة الاولى معقدة لكن مجرد ماتحاول تغير اتجاه نظرك حتشوف زوايا كثير أبسط من دوامة التعقيدات الاولى 🫱🏻‍🫲🏽
أتمنى الثريد يفيدكم بالحاضر و المستقبل🫶🏻💗..
انتهى.

جاري تحميل الاقتراحات...