Brho0m13
Brho0m13

@brho0m13

7 تغريدة 2 قراءة Dec 28, 2022
سامسونج ارسلت رسالة تقول فيها ان احنا ملتزمين بمتطلبات وضع ال Filmmaker mode وان راح يرسلون تحديث يوحد جميع النوافذ على معيار الصناعة اتمنى يكون هذا حتى على وضع ال Movie لأن افضل من ناحية المعايرة بحيث يوفر 20 نقطة بيضا لتحكم بسطوع الظلال امكانية المعايرة اكبر
مع هذا خطوة ممتازه كثير استجابة سامسونج نشوف مدى جودة الإستجابة على الأقل تقل المشكلة في محتوى HDR
ويعني ان Samsung ممكن تكون اكثر التزام في تلفزيونها القادم بما انها على اطلاع بالمشكلة
بالنسبة لل SDR وتتبع Eotf في مصدر يقول ان S95B ماتتبع 2.4 وتنحرف بقوة الى 2.1 في اعداد BT.1886 اللي هو avforum
وفي نتائج لمعايرة اولية للوحة في ساعاتها الاولى ما اعرف بأي طريقة لكن تدل على امكانية تتبع 2.4 EOTF في SDR لل S95B من معاير اسمه Sammie
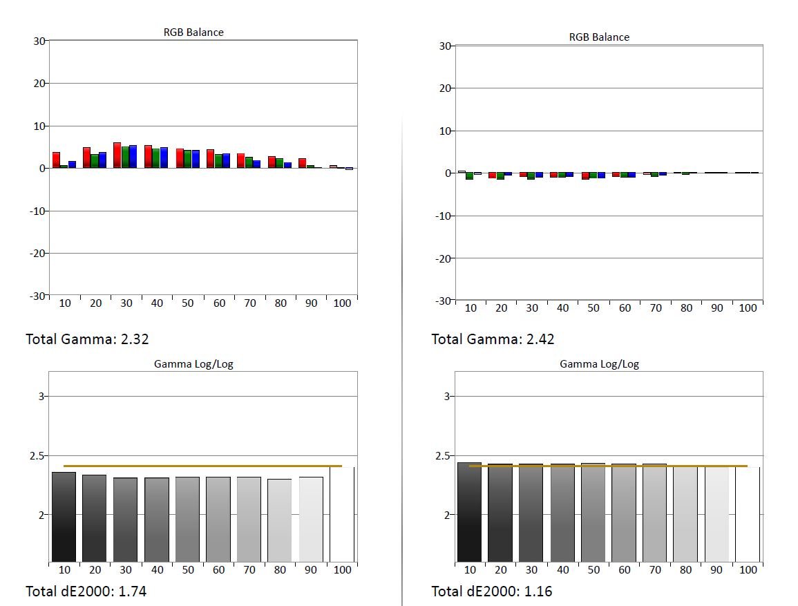
قبل وبعد المعايرة
يبيلهم يصلحو رفع EOTF في ال Game Mode مو بس في وضع ال Filmmaker mode
اخبار حلوة لملاك Samsung S95B
نتيجة اختبار Sammie سريعة بدون ماتاخذ الشاشة 100 ساعة تشغيل لأن كان يبي يشوف ادائها بسرعة على كلامة
بعد المعايرة كان في طمس لتفاصيل الظلال في (اشارة الفديو 10%) واشار احتمالية التحسن بعد 100 ساعة تشغيل
ننتظر المراجعة الكاملة لفينسنت ونعرف ادائها كامل ب SDR
المصدر

جاري تحميل الاقتراحات...