الجـيـنـوم الأثــري ❲ض❳
الجـيـنـوم الأثــري ❲ض❳

@Geno_Mena

5 تغريدة Apr 04, 2023
اختراق جديد في علوم الوراثية الأثرية
نجاح عملية استخلاص الحمض النووي البشري من أحد كهوف فلسطين
من طبقات رسوبية يتراوح عمرها بين 30.000 و 70.000 سنة
إلا أنها اقتصرت على الحمض النووي الميتوكوندري (المحدد للسلالات الأمومية)
وقد بدأنا في تحليل سلالاتها على أمل نشرها تباعا
#Geno_Mena
إحدى العينات ظهرت على السلالة الأمومية L3
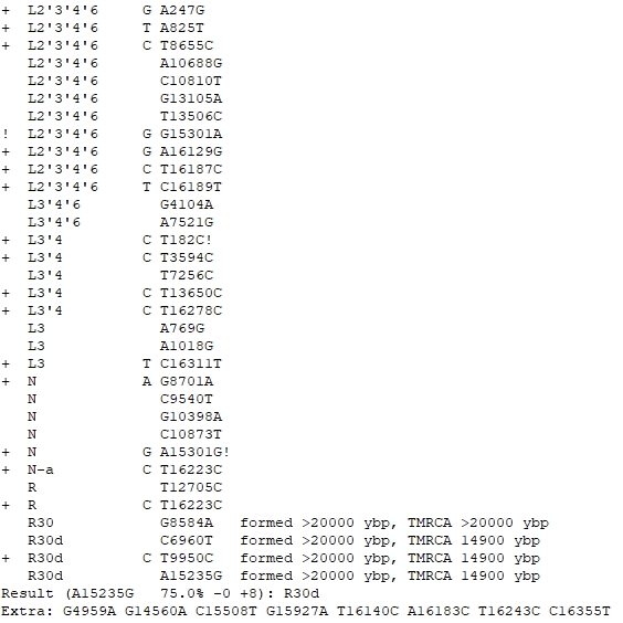
عينة أخرى ظهرت على السلالة الأمومية R30d
عينة أخرى ظهرت على السلالة الأمومية M3
مقدمة الدراسة الأولية حول كهف سوفونين بجبل الكرمل
قبل سنة كانوا أعلنوا عدم تمكنهم من استخلاص أي مادة وراثية بشرية
لكن يبدو أنهم نجحوا أخيرا في استخلاص 43 عينة من الحمض النووي البشري

جاري تحميل الاقتراحات...