عبدالحكيم النقيدان
عبدالحكيم النقيدان

@Abdulhakim__

5 تغريدة 15 قراءة Mar 15, 2022
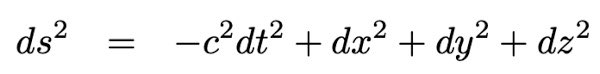
سبب وجود الإشارة السالبة بين بُعد الزمان وبُعد المكان في النظرية النسبية هو لضمان أن سرعة الضوء في الفراغ ثابتة لكل من يقيسها (سواءً كان واقفا أو متحركًا).
وهذا أهم مسلمات النظرية النسبية، وبدون هذه الإشارة السالبة سوف تنخرم هذه المسلمة وتصبح سرعة الضوء تختلف بحسب الإطار المرجعي
وهذه الإشارة تجعل الفضاء (الزمكان) في النسبية الخاصة ليس فضاء إقليدياً بل (فضاء منكوفسكي) والفرق:
في الفضاء الإقليدي: المسافة بين نقطتين في محور x-y تعطى بـ:
Δs² = Δx² + Δy²
لذلك عند التحويل إطار مرجعي لآخر (يحفظ Δs) فإننا نستخدم الدوال المثلثية sin & cos (لأن sin² + cos² = 1)
أما في فضاء منكوفسكي فالمسافة بين نقطتين تعطى بـ:
Δs² = Δx² - Δy²
لذلك للتحويل من إطار مرجعي لآخر نستخدم الدوال الزائدية hyperbolic sinh & cosh (لأن sinh² - cosh² = 1)
وهذا التحويل لا يقوم بتدوير المحور بل بعمل (انكماش) له يجعل سرعة الضوء دائما ثابتة
كذلك فإنه في الفضاء الإقليدي لو رسمت دائرة حول أي نقطة فإن كل نقطة في الدائرة تبعد نفس المسافة عن نقطتك، أما في فضاء منكوفسكي فليست الدائرة بل القطع الزائد hyperbola، وهذا هو الذي جعلنا نحتاج لتناول الأحداث في النسبية الخاصة بقمع الضوء light-cone
الخلاصة:
في الميكانيكا الكلاسيكية:
فضاء إقليدي -> تحويلات غاليليو (معتمدة على الدوال المثلثية وليست هناك سرعة ثابتة لكل المراقبين)
في النسبية الخاصة:
فضاء منكوفسكي -> تحويلات لورنس (معتمدة على الدوال الزائدية وهناك سرعة ثابتة لكل المراقبين وهي سرعة الضوء)

جاري تحميل الاقتراحات...