مراد أبو عمرو
مراد أبو عمرو

@Murad_1836

5 تغريدة 3 قراءة Apr 08, 2023

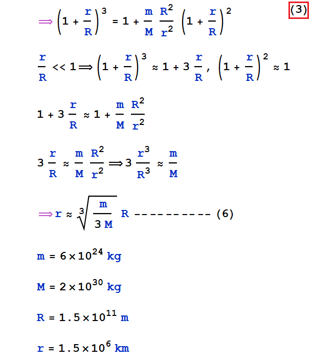
أضع اشتقاق المعادلة التي تعطي بعد النقطة L2 عن الأرض، وأتمنى أن يكون مفهوماً.
الرموز: M هي كتلة الشمس، m كتلة الأرض، G ثابت الجذب الكوني، r بعد النقطة L2 عن الأرض، R بعد الأرض عن الشمس، ، v سرعة دوران L2 حول الشمس، vE سرعة دوران الأرض حول الشمس، وT الزمن الدوري لهذا الدوران.
الخطوة التالية هي إيجاد المعادلة التي تحسب السرعة المخروطية لتلسكوب جيمس ويب حول النقطة L2.
في الصورة فإن البقعة الحمراء الكبيرة هي الشمس، الزرقاء هي الأرض، السوداء هي L2، الحمراء الصغيرة هي موقع التلسكوب.
بحيث أن u هي السرعة المطلوبة، أما الأبعاد فكما هي مبينة في الصورة.
توضيح: المعادلة 8 في التغريدة الأولى تتحول على صورة المعادلة 10، وقمت بتحويل المعادلة إلى الصيغة رقم 11 لتعود وتشبه المعادلة 8 مرة أخرى مع إجراء تحويلات معينة للحصول على الحل بسهولة.
النتيجة أن بعد التلسكوب عن الأرض في مداره المخروطي سيكون نفس بعد L2 عن الأرض.
النتيجة الأخرى أن سرعة دوران التلسكوب بالنسبة للأرض ستكون قليلة نسبياً بحد أقصى 500m/s تقريباً.
طبعاً أنا أخطأت في حل معادلة السرعة التي استنتجتها بالأمس، لذلك ظهر عندي Cos[θ] في مقام الجذر، ما سبب مشكلة الحصول على متفردة عند θ = 90ْ، لكن الآن زال الإشكال.
أحب أن أبين أن العلاقة التي استنتجتها في التغريدة الثانية قد استنتجتها على عجالة، ولم أتحقق منها تماماً ولم أجد مرجعاً يتحدث عنها. لذلك فلست متأكداً منها، وأكون شاكراً لمن يجد هذه العلاقة من مرجع موثوق.

جاري تحميل الاقتراحات...