Abdullah 🇸🇦💛
Abdullah 🇸🇦💛

@iAFA91

20 تغريدة 60 قراءة Dec 27, 2021
المكاتب الهندسية في الرياض
في هذي السلسلة بأوضح بعض الامور مع التطرق لأسعارها :
⁃ ما هي المكاتب الهندسية ؟
⁃ هل هي زيادة مصاريف ؟
أيضا :
⁃ فئاتها
⁃ الرخص
⁃ التخصصات الهندسية
⁃ خدماتها
المكاتب الهندسية بشكل عام دورها تقديم خدمات في التصميم والإنشاء والإشراف حتى تسليم العقار للمالك وتختلف أدوارها بحسب تخصص النشاط والخدمات المقدمة حسب نوع الرخصة.
وتم اصدار قرارات من الجهات المختصة بالتعاقد مع المكاتب الهندسية لضمان دقة وجودة الأعمال لتفادي التلاعب والغش التجاري.
ومن الممكن القول سلبيا بأنها “زيادة مصاريف”
لكن فعليا وإيجابيا هي خدمات تقدم لضمان عقارك الخاص على الأمد البعيد دون مشاكل بإذن الله تخسرك مبالغ كبيره لأعمال الصيانة كان بالإمكان تفاديها من مراحل الإنشاء.
• فئاتها :
حسب البيانات الموضحة من هيئة المهندسين.
فئاتها تنقسم الى 8 فئات :
⁃ مكاتب هندسية متخصصة
⁃ مكاتب خدمات هندسية مساندة
⁃ شركات مهنية
⁃ مكاتب هندسية استشارية
⁃ مختبرات
⁃ شركات أجنبية
⁃ شركات عقود متكاملة
⁃ مكاتب استشارات سلامة هندسية
حيث تشكل المكاتب والشركات الهندسية الإستشارية في الرياض النسبة الأكبر بين جميع الفئات بنسبة 61٪ ، وتليها المكاتب الهندسية المتخصصة.
• الرخص :
الرخص المقدمة من هيئة المهندسين لـ المهندسين الممارسين ، تنقسم الى نوعين :
⁃ رخصة نهائية .. وتنقسم الى نوعين :
- سارية
- منتهية
⁃ رخصة مبدئية
من دراسة الحالة الخاصة بصلاحية الرخص تم دمج صلاحية الرخص المبدئية ضمن انواع الرخص النهائية.
أتضح من خلال الرخص أن عدد الشركات والمكاتب الهندسية في الرياض عددها 2195 بمختلف التخصصات الهندسية ، ولكن حوالي 1200 شركة و مكتب تمارس نشاطها في الوقت الحالي.
ومن خلال الرسم البياني لمقارنة أعداد الرخص لكل فئة ، نلاحظ بأن المكاتب الاستشاريه توضح تفوقها العددي لبقية المكاتب
ويمكن أيضا ملاحظة أن المكاتب الهندسية المتخصصة , والمختبرات هي الوحيدة الأكثر عددا من ناحية الرخص المنتهية.
ويمكن إستنتاج ذلك بسبب وجودها في سوق منافس للمكاتب الإستشارية ذو الخدمات المتعددة.
• تخصصاتها :
أما في ما يخص مجالات نشاطات أو التخصصات الهندسية للمكاتب ، هناك 14 تخصص هندسي.
المكاتب المتخصصه في الغالب نشاطها يحتوي تخصص واحد يعتمد على الشهادة والخبرة الخاصة بصاحب المكتب.
لكن المكاتب الاستشاريه تحتوي على تخصصين أو أكثر “تم ترميزها بـ متعدده".
أيضا يمكن ملاحظة بأن من إجمالي عدد المكاتب الهندسية هناك 747 مكتب لم يحدد تخصص النشاط الهندسي ، اما التخصصات المتعددة تشكل العدد الأكبر وهي في الغالب المكاتب الإستشارية.
• خدماتها :
تم تصنيف الخدمات المقدمة من قبل هيئة المهندسين الى 4 خدمات رئيسية :
⁃ مساحة أرضية
⁃ تصميم
⁃ إشراف
⁃ تسليم مفتاح
و من خلال الخدمات المحدده يتم إضافة الاسعار من قبل أصحاب المكاتب إختياريا وحسب أسعارهم لأن “السوق مفتوح”.
•الأسعار :
من خلال الأسعار في موقع هيئة المهندسين والتي تم إضافتها من أصحاب الشركات والمكاتب الهندسية ، يتبين أن هناك فروقات في مختلف الأسعار المقدمة للمتر.
وسيتم الحديث عن الأسعار بناءا على الخدمات الـ 4 الرئيسية ، وكل خدمة مقسمة سعريا الى قسمين :
⁃سعر أدنى
⁃سعر أعلى
و من مجموع المكاتب 2195 هناك 489 فقط مكتب أضاف أسعاره للخدمات الرئيسية سواء كانت جمعيها أو بعضها ، مقسمة كالأتي :
293 مكتب وضح تسعير المساحة الأرضية
292 مكتب وضح تسعير التصميم
282 مكتب وضح تسعير الإشراف
234 مكتب وضح تسعير تسليم المفتاح
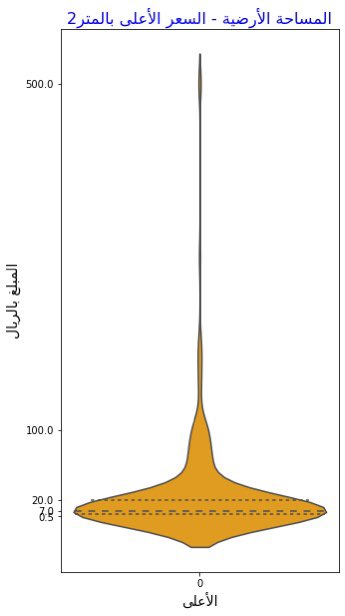
⁃ المساحة الأرضية :
تتراوح أسعار المساحة الأرضية بالمتر2 ما بين 0.1 الى 2250 ريال بمتوسط = 26.63 ريال.
ونلاحظ أن سعر المتر يبدأ من 0.1 الى 75 ريال كحد أدنى بمتوسط
أما الحد الأعلى فيبدأ من 0.5 الى 2250 ريال
⁃ التصميم :
فيما يخص التصاميم الهندسية تتراوح الأسعار ما بين 0.25 الى 12500 ريال للمتر2 بمتوسط = 417.67 ريال.
ونلاحظ الحد الأدنى 0.25 الى 1250 ريال
اما الحد الأعلى فيبدأ من 2.5 الى 12500 ريال
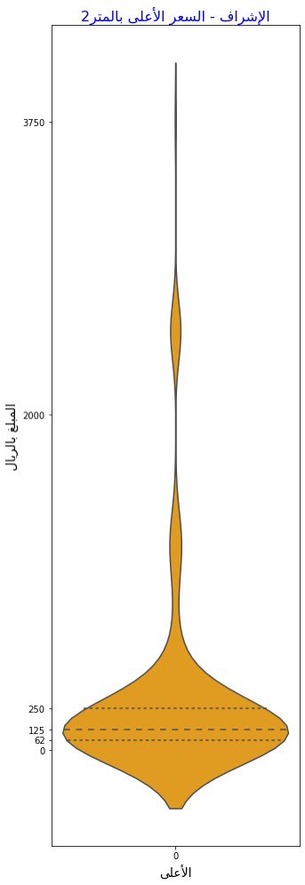
⁃ الإشراف :
الإشراف الهندسي تتراوح أسعاره بين 0.25 الى 3750 ريال للمتر 2 بمتوسط = 362.35 ريال.
ونلاحظ الحد الأدنى من 0.25 الى 1000 ريال
اما الحد الأعلى يبدأ من 6.25 الى 3750 ريال
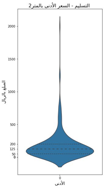
⁃ التسليم :
تسليم المفتاح الأكثر تكلفة من بين الخدمات
وتتراوح أسعاره من 1 الى 7500 ريال للمتر2 ، بمتوسط = 761.3 ريال.
ونلاحظ الحد الأدنى من 1 الى 2000 ريال
اما الحد الأعلى يبدأ من 7.5 الى 7500 ريال
في الختام .. شكرا لوقتكم
وأعتذر على الإطالة ، وما أستغني عن نصائحكم وإقتراحاتكم .. والله ولي التوفيق🌹
مصدر البيانات :
الموقع الإلكتروني لـ هيئة المهندسين

جاري تحميل الاقتراحات...