حمد محمد ياسين| Hamad Yaseen
حمد محمد ياسين| Hamad Yaseen

@HamadYaseen

7 تغريدة 2 قراءة Dec 24, 2021
قمنا مؤخرا من نشر أبحاثنا حول الاستجابة المناعية للقاح كورونا عند مرضى السكري و السمنة و ضغط الدم و قارنا مستويات الاجسام المضادة المتكونة بالاصحاء مع مرور الموقت. كما درسنا أثر الاصابة و التعافي من كورونا على مستويات الاجسام المضادة و أوجز هنا ابرز النتائج:
حقق التطعيم تحفيز قوي للأجسام المضادة عند مرضى السكري على الرغم من كون معدلات هذ الاجسام اقل من المعدلات المقابلة في الاشخاص الاصحاء مما قد يشير الى ضرورة وضع مرضى السكري ضمن فئات الاولوية في برامج التطعيم.
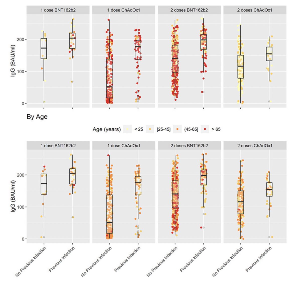
الاصابة و التعافي من عدوى الكورونا بالاضافة لحصول جرعة او ٢ من اللقاح تحفز انتاج الاجسام المضادة بمعدلات عالية مما قد يساعد على تنظيم برامج التطعيم و فئات الاولوية و خصوصا عند عدم توفر امدادات التطعيم بصورة كافية.
بصورة عامة تنخفض مستويات الاجسام المضادة بعد حوالي ١٥٠-٢٠٠ يوم من الجرعة الثانية بوتيرة متسارعة مما يبين اهمية الجرعة المعززة خصوصا وقت انتشار العدوى.
هذه الدراسات تمت في معهد دسمان للسكري و بالتعاون مع وزارة الصحة و باحثين من جامعة الكويت و بدعم من مؤسسة الكويت للتقدم العلمي.
@dasmaninstitute
@kfasinfo
@KUWAIT_MOH
@K_University
يمكن الحصول على نسخة من الابحاث عبر الروابط التالية:
- ncbi.nlm.nih.gov
Frontiers in immunology (Q1: IF 7.5)
- frontiersin.org
Frontiers in public health(Q2, IF3.7)

جاري تحميل الاقتراحات...