د. مَعين بن يحيى بن جنيد
د. مَعين بن يحيى بن جنيد

@drmbinjonaid

9 تغريدة 60 قراءة Oct 02, 2021
سأحدثكم اليوم عن التناظر Symmetry وكسر التناظر Symmetry Breaking. مع أهمية هذه المفاهيم لمختلف التخصصات العلمية، غير أن لها أهمية خاصة في الفيزياء الأساسية ووصف القوانين التي تحكم الجسيمات الأولية.
سيكون النقاش علميا مع أمثلة إن شاء الله بعيدا عن البعد الجمالي الفلسفي.
1/n
طبعا كلنا نعرف التناظر (وكسر التناظر) لأنها موجودة فينا وفيما حولنا وموجودة في الفن والعمران في حضارة العرب والمسلمين منذ قرون.
أول شيء تلاحظه عن أي شيء متناظر أن وصفه أسهل -من حيث المبدأ- من شيء غير متناظر. والسبب هو أن التناظر "يقيد" أو يحصر الخيارات المتاحة أمامك.
2/n
أيضا كلنا نعرف الأشكال الهندسية وأن فيها تناظرات. مثل الأشكال في الصورة. الخطوط الحمراء الظاهرة هي خطوط التناظر. إذا قلبت الشكل بين تلك الخطوط فهو يعود لنفس وضعه -ثابت لا يتغير تحت العملية الخاصة التي أجريتها-. أو حتى إذا أدرته بزوايا محددة فهو يرجع لنفس هيئته الأصل.
3/n
بإمكاننا أن نسأل عن التناظر بالنسبة للدوال الرياضية أيضا. مثلا الدالة f(x)=x^2. إذا أجريت التحويل x --> -x (عكست الإشارة للمتغير المستقل) فالدالة تظل كما هي بسبب التربيع. لو رسمتها يتضح لك أنها دالة زوجية (لكن سأستخدم مصطلح متناظرة حول الانعكاس).
4/n
لو أخذت متجه v، بإمكانك أن تجري عليه عملية دوران حول نقطة الأصل Rv. طبعا المتجه يتغير اتجاهه في هذه الحالة. فهو ليس متناظر حول الدوران.
لكن لو أخذت الضرب الداخلي للمتجه (عملية ضرب قياسي)، فالناتج هو رقم لا يتغير مهما أدرت المتجه (متناظر حول الدوران). vR^T Rv = vv
5/n
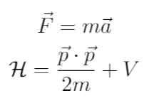
في الفيزياء، نتعامل مع كميات فيزيائية إما أن تكون أرقام أو متجهات أو ممتدات (tensors) وهكذا. هذه الكميات تدخل ضمن معادلات فيزيائية لها أشكال خاصة. بعضها تكون معادلات متجهة مثل القوة في قانون نيوتن الثاني. أو "قياسية" مثل الهاملتونيان (الطاقة الكلية).
6/n
بإمكاننا أن نسأل، ماذا يحدث للكميات الفيزيائية تحت تأثير مختلف أنواع التغييرات التي يمكن أن نجريها عليها (نسميها تحويلات)؟ وماذا يحدث لقوانين الفيزياء؟ مثلا، التدوير، تغيير المكان\الإحداثيات، تغيير الوقت، تغيير الإطار المرجعي. وهذه تسمى تحويلات زمانية ومكانية (زمكانية).
7/n
قد نكتشف تناظرات في معادلات وقوانين الفيزياء إذا وجدناها لا تتغير تحت التحويلات التي ذكرتها وغيرها، وهذا يقودنا إلى تبسيط الفيزياء باكتشاف قيود قوية جدا ومهمة جدا مثل: قوانين الحفظ والكميات المحفوظة.
أول محطة فيزيائية سأتوقف عندها لشرح الأمر: التناظر في الميكانيكا التقليدية.
8/n
تجربتي في عمل الthreads جديدة. لم أكمل تغريداتي هنا، وقررت أن أؤجلها لتتزامن مع لقاء سأقوم به قريبا إن شاء الله مع أحد الحسابات المهتمة بنشر العلوم للعموم.
لذلك تظل قيمة العدد n مجهولة!

جاري تحميل الاقتراحات...