#ثريد
دراسة من النرويج (لا إمريكا ولا بريطانيا ولا الكيان الصهيوني)
فوائد التطعيم للقاطنين في دور الرعاية والعاملين بها
من بداية حملة التطعيمات الى يونيو ٢٠٢١
(١)
#كورونا #عمان_تواجه_كورونا #كوفيد_19 #عمان
د. #رضا_اللواتي
#صوت_الطبيب
المصدر
medrxiv.org
دراسة من النرويج (لا إمريكا ولا بريطانيا ولا الكيان الصهيوني)
فوائد التطعيم للقاطنين في دور الرعاية والعاملين بها
من بداية حملة التطعيمات الى يونيو ٢٠٢١
(١)
#كورونا #عمان_تواجه_كورونا #كوفيد_19 #عمان
د. #رضا_اللواتي
#صوت_الطبيب
المصدر
medrxiv.org
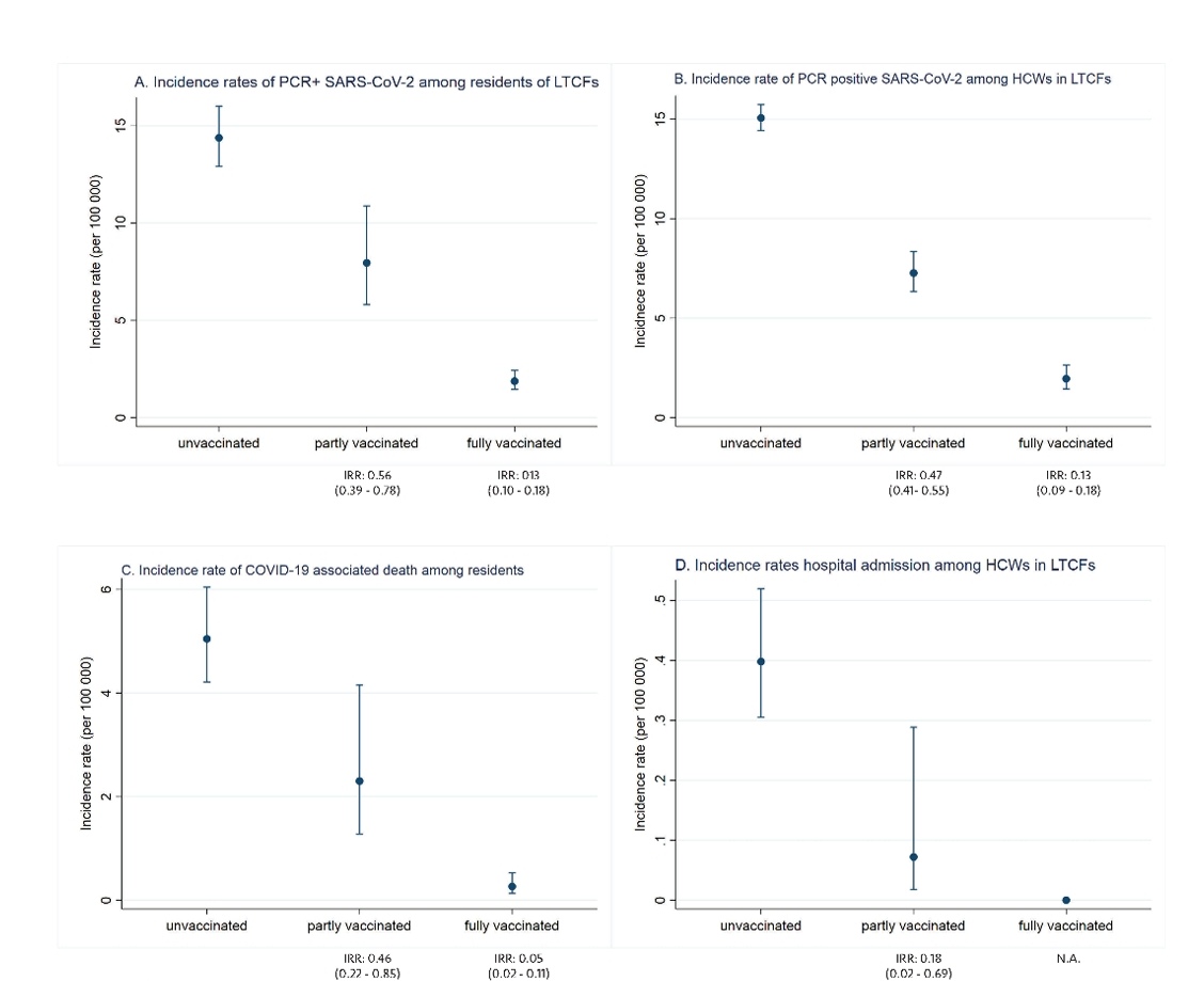
شملت الدراسة ٣١ الف شخص من المقيمين في دور الرعاية تقريبا و ٨٨ الف عامل
٨٥٪ من المقيمين و ٧١٪ من العاملين اخذوا جرعة واحدة على الأقل
متوسط العمر ٨٩ سنة للمقيمين و ٣٩ سنة للعاملين
(2)
#كورونا #عمان_تواجه_كورونا #كوفيد_19 #عمان
د. #رضا_اللواتي
٨٥٪ من المقيمين و ٧١٪ من العاملين اخذوا جرعة واحدة على الأقل
متوسط العمر ٨٩ سنة للمقيمين و ٣٩ سنة للعاملين
(2)
#كورونا #عمان_تواجه_كورونا #كوفيد_19 #عمان
د. #رضا_اللواتي
المقيمين في دور الرعاية
٥٧ اصابة بالمرض لمن تلقوا تطعيمهم كاملا مقابل ٣٣٢ اصابة لمن لم يتم تطعيمه
٨ وفيات مقابل ١١٨ وفاة (الحماية ٩١٪)
(3)
#كورونا #عمان_تواجه_كورونا #كوفيد_19 #عمان
د. #رضا_اللواتي
٥٧ اصابة بالمرض لمن تلقوا تطعيمهم كاملا مقابل ٣٣٢ اصابة لمن لم يتم تطعيمه
٨ وفيات مقابل ١١٨ وفاة (الحماية ٩١٪)
(3)
#كورونا #عمان_تواجه_كورونا #كوفيد_19 #عمان
د. #رضا_اللواتي
العاملين في دور الرعاية
٤٢ حالة اصابة لمن اتموا التطعيم مقابل ٢٠٤٠ حالة اصابة لمن لم يتلق التطعيم
صفر حالة وفاة لمن تطعم كاملا مقابل ٥٤ حالة وفاة لمن لم يتطعم و حالتي وفاة لمن اخذ جرعة واحدة
(4)
#كورونا #عمان_تواجه_كورونا #كوفيد_19 #عمان
د. #رضا_اللواتي
٤٢ حالة اصابة لمن اتموا التطعيم مقابل ٢٠٤٠ حالة اصابة لمن لم يتلق التطعيم
صفر حالة وفاة لمن تطعم كاملا مقابل ٥٤ حالة وفاة لمن لم يتطعم و حالتي وفاة لمن اخذ جرعة واحدة
(4)
#كورونا #عمان_تواجه_كورونا #كوفيد_19 #عمان
د. #رضا_اللواتي
نسبة فعالية التطعيم وصلت الى ٨١٪ لمن تطعم تطعيما كاملا و ٤٠.١٪ لمن أخذ جرعة واحدة
ملاحظة: لا يتم تنويم المقيمين في دور الرعاية في النرويج إلا في حالات محددة لذلك لم يتم احتساب معدل التنويم
(5)
#عمان_تواجه_كورونا #عُمان #كوفيد_19 #كورونا
د. #رضا_اللواتي
ملاحظة: لا يتم تنويم المقيمين في دور الرعاية في النرويج إلا في حالات محددة لذلك لم يتم احتساب معدل التنويم
(5)
#عمان_تواجه_كورونا #عُمان #كوفيد_19 #كورونا
د. #رضا_اللواتي
الخلاصة
- تطعيم كبار السن مهم جدا وبجرعتين
- اختلاف النسب بين الدراسات لا يعني عدم فعالية التطعيم
- تطعيم العاملين في دور الرعاية مهم أيضا
- توافر دراسات من مختلف دول العالم عن فعالية التطعيمات يعطي اشارة ودلالة على فعاليتها
(6)
#عمان_تواجه_كورونا #عُمان #كوفيد_19
د. #رضا_اللواتي
- تطعيم كبار السن مهم جدا وبجرعتين
- اختلاف النسب بين الدراسات لا يعني عدم فعالية التطعيم
- تطعيم العاملين في دور الرعاية مهم أيضا
- توافر دراسات من مختلف دول العالم عن فعالية التطعيمات يعطي اشارة ودلالة على فعاليتها
(6)
#عمان_تواجه_كورونا #عُمان #كوفيد_19
د. #رضا_اللواتي
جاري تحميل الاقتراحات...