سلسلة تغريدات عن كيفية حساب المناعة المجتمعية ضد موجة وباء كورونا المستجد وعلاقتها ب سرعة انتشار الوباء وتأثرها بالنوع السائد من السلالات المتحورة وبفعالية التطعيمات.
١/ن
١/ن
كيف يكتسب الفرد مناعة ضد الإصابة؟
١- مناعة طبيعية (الأدلة تشير لقلتها)
٢- مناعة مكتسبة من فيروسات أخرى (الأدلة تشير لقلتها)
٣- مناعة مكتسبة بعد الإصابة (تترتب عليها خطورة وفاة عالية نسبيا)
٤- مناعة مكتسبة من التطعيم
٣/ن
١- مناعة طبيعية (الأدلة تشير لقلتها)
٢- مناعة مكتسبة من فيروسات أخرى (الأدلة تشير لقلتها)
٣- مناعة مكتسبة بعد الإصابة (تترتب عليها خطورة وفاة عالية نسبيا)
٤- مناعة مكتسبة من التطعيم
٣/ن
هل المناعة المكتسبة عند الفرد دائما كافية لمنع انتقال الفيروس؟
هذا الأمر يعتمد على ثلاثة عوامل على الأقل:
١- درجة العرضة للإصابة (susceptibility)
٢- درجة نقل الفيروس بعد الإصابة (transmissibility)
٣- مدة فعالية المناعة (sterilizing vs waning)
٤/ن
هذا الأمر يعتمد على ثلاثة عوامل على الأقل:
١- درجة العرضة للإصابة (susceptibility)
٢- درجة نقل الفيروس بعد الإصابة (transmissibility)
٣- مدة فعالية المناعة (sterilizing vs waning)
٤/ن
تشير الدراسات إلى أن عدد من تطعيمات كوفيد ١٩ تقلل العوامل ١ و ٢ بنسب فاعلة في حال تلقى الفرد جرعتين.
وكذلك تزيد من عامل ٣ ولكن غير معلوم إن كان المدة أطول من سنة لذلك قد يستوجب اللجوء إلى جرعات تحفيزية تطيل من مدة المناعة (كحال التطعيمات الأخرى).
٥/ن
وكذلك تزيد من عامل ٣ ولكن غير معلوم إن كان المدة أطول من سنة لذلك قد يستوجب اللجوء إلى جرعات تحفيزية تطيل من مدة المناعة (كحال التطعيمات الأخرى).
٥/ن
ما هي السرعة الطبيعية لانتشار أي وباء معدي؟
سرعة انتشار الوباء لها وصف وبائي رياضي يسمى بعدد (معدل) التكاثر ويرمز له ب R0.
وهو متوسط عدد الإصابات التي انتقل لها الفيروس من شخص واحد دون وجود أي اجراءات للحد من انتشار الفيروس.
ملاحظة: الإجراءات تهدف لتقليل هذا المعدل
٧/ن
سرعة انتشار الوباء لها وصف وبائي رياضي يسمى بعدد (معدل) التكاثر ويرمز له ب R0.
وهو متوسط عدد الإصابات التي انتقل لها الفيروس من شخص واحد دون وجود أي اجراءات للحد من انتشار الفيروس.
ملاحظة: الإجراءات تهدف لتقليل هذا المعدل
٧/ن
ماهي الإجراءات الأساسية؟
ما نشهده من تغيرات بسلوك الموجة يتأثر بعدة أمور واجراءات منها
درجة المناعة المكتسبة
تحور الفيروس
الموسم
تقليل المخالطة
تقليل الحركة
التقصي الوبائي
الحجر
إغلاق المرافق
منع التجمعات
لبس الكمام
وغير
٩/ن
ما نشهده من تغيرات بسلوك الموجة يتأثر بعدة أمور واجراءات منها
درجة المناعة المكتسبة
تحور الفيروس
الموسم
تقليل المخالطة
تقليل الحركة
التقصي الوبائي
الحجر
إغلاق المرافق
منع التجمعات
لبس الكمام
وغير
٩/ن
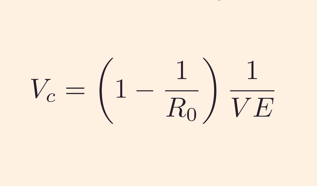
ولكن هذه المعادلة ليست كافية لحساب نسبة المناعة المجتمعية المرجوة. لماذا ؟
هذه المعادلة تشترط أن كل فرد يجب أن يكتسب مناعة ذات فعالية (VE) تعادل 100% ضد الإصابة وهو أمر تشير الأدلة إلى استحالته مع هذا النوع من الأوبئة سواء اكتسبت المناعة من الإصابة أو من تطعيم.
١٣/ن
هذه المعادلة تشترط أن كل فرد يجب أن يكتسب مناعة ذات فعالية (VE) تعادل 100% ضد الإصابة وهو أمر تشير الأدلة إلى استحالته مع هذا النوع من الأوبئة سواء اكتسبت المناعة من الإصابة أو من تطعيم.
١٣/ن
ماذا عن نسبة 70% التي يتم تداولها بوسائل الإعلام؟
هذه النسبة مناسبة تحت ظروف معينة فقط مثل فعالية تطعيم ١٠٠٪ مع استمرار التحور البريطاني ألفا بسيادة موجة الوباء.
ولكن نحن نعرف أن الظروف تغيرت منذ ظهور السلالات السريعة وأن المناعة المكتسبة ضد الإصابة ليست 100%.
١٨/ن
هذه النسبة مناسبة تحت ظروف معينة فقط مثل فعالية تطعيم ١٠٠٪ مع استمرار التحور البريطاني ألفا بسيادة موجة الوباء.
ولكن نحن نعرف أن الظروف تغيرت منذ ظهور السلالات السريعة وأن المناعة المكتسبة ضد الإصابة ليست 100%.
١٨/ن
لذلك نجد أن السويد والبرازيل فشلا باستراتيجية مناعة القطيع المتمثلة بترك المرض يتفشى دون رادع.
لذلك تكبدوا نسب وفيات عالية خلال موجتهم الأولى. ولكن الأمر لم يتوقف عند ذلك رغم ارتفاع نسبة المناعة، حيث أصيبوا بموجة تحورات ثانية فتكت بهم مره أخرى.
١٩/ن
لذلك تكبدوا نسب وفيات عالية خلال موجتهم الأولى. ولكن الأمر لم يتوقف عند ذلك رغم ارتفاع نسبة المناعة، حيث أصيبوا بموجة تحورات ثانية فتكت بهم مره أخرى.
١٩/ن
ساسا: إذا ماهي نسبة التطعيم التي يحتاجها المجتمع؟
بالنسبة للكويت، هناك خليط من المتحورات أشدهم سرعة هو دلتا ويليه ألفا.
لذلك هناك تعقيدات مرتبطة بحساب النسبة المستهدفة من حملة التطعيم ولكن بشكل عام ستكون أكبر من 80% بفعل زيادة سرعة انتشار دلتا و قيمة VE وعوامل أخرى.
٢٠/ن
بالنسبة للكويت، هناك خليط من المتحورات أشدهم سرعة هو دلتا ويليه ألفا.
لذلك هناك تعقيدات مرتبطة بحساب النسبة المستهدفة من حملة التطعيم ولكن بشكل عام ستكون أكبر من 80% بفعل زيادة سرعة انتشار دلتا و قيمة VE وعوامل أخرى.
٢٠/ن
سابعا: ماهو السيناريو الوبائي المرجح؟
طالما استمر الوباء بالتفشي سيستمر بالتحور، وطالما كان هناك تحورات سريعة التفشي ك سلالة دلتا سيصعب على التطعيم أن يوقف توطن الوباء فليس هناك تطعيم فعال ضد الإصابة بنسبة 100%.
٢١/ن
طالما استمر الوباء بالتفشي سيستمر بالتحور، وطالما كان هناك تحورات سريعة التفشي ك سلالة دلتا سيصعب على التطعيم أن يوقف توطن الوباء فليس هناك تطعيم فعال ضد الإصابة بنسبة 100%.
٢١/ن
لذلك مرجح أن يدخل الوضع الوبائي بمرحلة التوطن الوبائي بحيث يتوطن المرض (endemic disease) فيستمر بالتفشي مع ظهور موجات محدودة متفرقة وممكن موسمية ولكن أشد خطورة بفعل تطعيم نسب كبيرة من المجتمع.
٢٢/ن
٢٢/ن
إذا الفيروس سيبقى؟
العالم فشل بمنع انتشار الفيروس وبعدم اعطاءه الفرصة للتحور إلى سلالات أشد من سابقتها.
من سوء فهم وتشكيك ومؤامرات إلى عدم اختصاص وبطئ بالاستجابة. هذه الأحداث اوصلتنا لمرحلة اللاعودة.
٢٣/ن
العالم فشل بمنع انتشار الفيروس وبعدم اعطاءه الفرصة للتحور إلى سلالات أشد من سابقتها.
من سوء فهم وتشكيك ومؤامرات إلى عدم اختصاص وبطئ بالاستجابة. هذه الأحداث اوصلتنا لمرحلة اللاعودة.
٢٣/ن
فليس هناك تطعيم قادر على القضاء على انتشار الوباء بسلالاته الحالية، على الأقل ليس بالأمد القريب ففعالية منع الإصابة ليست كافية للوصول إلى هذا الهدف.
ولكن الأهم هو أن التطعيم له فائدة وقائية أخرى متعلقة بالآثار المرضية للفيروس.
٢٤/ن
ولكن الأهم هو أن التطعيم له فائدة وقائية أخرى متعلقة بالآثار المرضية للفيروس.
٢٤/ن
ماهي؟
التطعيمات قادرة على تقليل نسبة المضاعفات والوفاة بشكل كبير وهو ما سيسهل على الحكومات والشعوب عملية إدارة المرض وحياتهم كحال الأمراض الموسمية الأخرى.
إضافة إلى ذلك، الوصول إلى نسب تطعيم كبيرة سيرتبط به تخفيف من معدلات الانتشار وربما حسر الوباء لمستويات غير نشطة.
٢٥/ن
التطعيمات قادرة على تقليل نسبة المضاعفات والوفاة بشكل كبير وهو ما سيسهل على الحكومات والشعوب عملية إدارة المرض وحياتهم كحال الأمراض الموسمية الأخرى.
إضافة إلى ذلك، الوصول إلى نسب تطعيم كبيرة سيرتبط به تخفيف من معدلات الانتشار وربما حسر الوباء لمستويات غير نشطة.
٢٥/ن
وكذلك هناك أدلة علمية وشواهد كثيرة على فعالية حملات التطعيم في خفض نسب الدخول للمستشفى بشكل يجعل المجتمع قادر على التعايش مع المرض. لذلك يتوجه العالم لتطعيم الجميع بأسرع وقت ممكن.
وهو الأمر الذي أشرنا إليه سابقا ب "عودة لحياه جديدة".
٢٦/ن
وهو الأمر الذي أشرنا إليه سابقا ب "عودة لحياه جديدة".
٢٦/ن
وأخيرا يالنسبة للكويت، فنحن نلاحق موجة سلالة دلتا وسنستمر باللحاق بها طالما لم يتم دعم حملة التطعيم بإجراءات تحد من سرعة انتشارها العالية.
إما الموجة تصل لحد مناعة القطيع قبلنا وإما نحن كمجتمع وحكومة نفرض عليها انحسار في ظل وجود أدوات تدخل إضافية.
انتهى
ن/ن
إما الموجة تصل لحد مناعة القطيع قبلنا وإما نحن كمجتمع وحكومة نفرض عليها انحسار في ظل وجود أدوات تدخل إضافية.
انتهى
ن/ن
جاري تحميل الاقتراحات...