Basim Al Gashgari
Basim Al Gashgari

@basimbyg2

15 تغريدة 37 قراءة Feb 26, 2021
#الكيمياء_الحيويه تعتمد بشكل كبير على أساسيات الكيمياء العضويه ومن ضمنها التسميه على حسب موقع المجموعه الطرفيه من الحلقه الاروماتيه و اختلاف الموقع يغير الوظيفه و التأثير حتى لو كان نفس التكوين الكيميائي من ناحيه العناصر
فلو كانت المجموعه الطرفيه في ذره الكربون الثانيه في الحلقه تسمى اورثو
وتسمى ميتا لو كانت في الذره الثالثه في الحلقه
والاخيره تسمى بارا لمن تكون في الذره الوسطيه
الصوره توضح الشرح المسبق
طبعا كلامي اكيد لخبطتكم و جبلكم الصداع صح ؟!!!
طالما حسيتو بصداع انصحكم بعلاج الصداع اسمه اسيتامينوفين كويس يمدحوه الصيادله للصداع
معروف باسم ثاني كيميائيا هو (باراسيتامول)
عرفتوه ولا باقي
هو علاج سبب شهره شركه الادويه البريطانيه و اكثر مصدر دخل لها وهي شركه جلاكسي سميث كلاين و اسمو بنادول
طيب يابروف بيسو ايش دخل العك اللي قلتو في تخصصك ؟؟
تتذكروا التغريدة دي؟؟
تصدقوا انو سبحان الله يوجد نفس الطريقه لتبليغ الجسم عن وجود ضرر هي انو ارسل رساله من نفس الخليه او العضو المتضرر؟؟
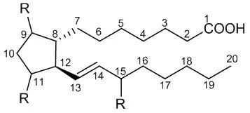
انزيم فوسفو ليبيز a2 يقطع جزء من الجدار الخلوي من الدهون الفوسفاتيه و يصنع سلسله دهنيه تتكون من ٢٠ ذره كربون تسمى اركيدونيك اسيد
و هو مخير بين طريقين اما يتحول إلى ليوكوتراينز او بروستوجلاندين
و عني يهمني هنا البروستاجلاندينات واللي قد شرحتها بابداع @ghayda_basfar
و عشان يتحول الاركيدونيك اسيد إلى بروستا جلاندين يحتاج واحد من أهم عوائل الانزيمات
وهي العائله الموقره رقم واحد في الترتيب
عائله انزيمات الأكسدة و الاختزال oxidoreductase
و ابنها الموقر انزيم
سايكلو اوكسيجينيز
من اسمو باين ايش راح يعمل يعني يأكسد الدهن ويربطه على شكل معقود على نفسو عشان يعمل البروستاجلاندينات
وهي من أهم المؤثرات المسببه لاستجابه الجسم للتنبيه عن وجود ضرر في عضو ما و معروفه باسم الالتهاب و من نتائجها الألم و الاحمرار و الصداع و الصداع و الصداع وكدا
طبعا عرفتوا ايش اقصد
صح كلامكم شطااااار اخونا اللي اسمو فيه بارا
باراسستامول او البنادول وظيفته انو يثبط عمل انزيم سايكلو اوكسيجينيز اللي يصنع البروستاجلاندينات
((( طبعا هي دي النقطه اللي قضيت عليها ٣ اشهر بحث بس مالقيت اجابه شافيه))) اللي هي كيف يثبط للانزيم
و كدا يخفف اثر الالتهاب و يخف الصداع
اتمنى اني افدتكم واتمنى مساعدتي بالنشر

جاري تحميل الاقتراحات...