م. عبدالرحمن سردار
م. عبدالرحمن سردار

@anm_sardar

6 تغريدة 272 قراءة Feb 17, 2021
⚡Line trap or wave trap⚡
وهي عبارة عن جهاز مصمم بحيث يمنع مرور الترددات العالية (High frequency) من الدخول لأجزاء محطات الباور والتي هي مصممة على ترددات
(60-50Hz power freaquencies)
مكوناتها الأساسية هي:
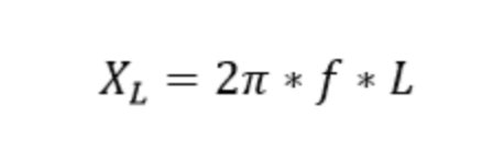
✨١-الملف الرئيسي: وهو ملف ذا قيمة منخفضة موصّل على التوالي وبالتالي مصمم أيضا على تحمل التيارات العالية وأيضا قادر على تحمل تيارات أعلى خلال فترة زمنية بسيطة وقد تكون:
• معلقة بعازل
• مثبتة على قوائم تثبيت معزولة
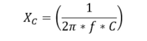
• يتم تركيبها على (Coupling capacitor)
٢-✨جهاز الضبط(Tuning device)
وهي مثبتة داخل الملف الرئيسي ووظيفتها هي ضبط الترددات المسموح لها بالمرور (Bandwidth)وتكون موصلة بالتوازي مع الملف الرئيسي وجهاز الحماية.
٣-✨جهاز الحماية: هو عبارة عن
(Surge arrestor)
موصل على التوازي يحمي الملف الرئيسي من الجهود العالية المفاجئة.
٤-✨ قد يتم أيضا تركيب بعض الإكسسوارات الأخرى مثل شبك الطيور وأجهزة التعليق وغيرها.
وبما أننا تطرقنا لهذا الموضوع فنستطيع التحدث عن
Coupling capacitor
Or Capacitive voltage transformer
ووظيفته هي استقبال الترددات العالية أو ترددات الإتصال بين المحطات بحيث تكون ذات ممانعة عالية لترددات الباور ويتم توصيلها بالتوازي مع خطوط النقل.
هذي أول مرة اكتب فيها ثريد مفصل عن تخصصي كمهندس كهرباء وإن كانت هناك أخطاء او تصحيح فأرجوا المشاركة وشكرا لكم واتمنى إنكم استفدتم.

جاري تحميل الاقتراحات...