د. يوسف شمس الدين
د. يوسف شمس الدين

@YAYshamsaldeen

7 تغريدة 276 قراءة Jan 23, 2021
في هذه السلسلة -إن شاء الله- مقارنة ثلاث تطعيمات حسب الدراسات المعلنة من التجارب الإكلينيكية المرحلة الثالثة، من:
💉فايزر @Pfizer بايونتيك @BioNTech_Group
💉موديرنا @moderna_tx
💉أوكسفورد @OxfordVacGroup آسترازينيكا @AstraZeneca
وهي ثلاث لقاحات تعتمد على الحمض النووي🧬
(١)
تطعيم فايزر و بايونتيك
💉BNT162b2
nejm.org
كفاءة التطعيم حسب العمر
16-55👦👧=95.6%
56-65🦳=93.7%
66-74🧓👵=94.7%
100%=👴👵أكبر من75
تطعيم موديرنا
💉mrna-1273
nejm.org
كفاءة التطعيم حسب العمر
18-64👦👧=95.6%
86.4%=👴👵اكبر من65
(2)
تطعيم أوكسفورد آسترازينيكا
💉AZD1222
thelancet.com
كفاءة التطعيم حسب العمر
18-55👦👧=لم تتجاوز90%
⚠️لم تنشر بيانات متكاملة لكفاءة تطعيم أكسفورد لكبار السن، ولكن متوقع أنها أقل، بناء على دراسة من كانسينو🇨🇳استخدمت نفس الطريقة (الناقل الفيروسي)
thelancet.com
(3)
🤔ماذا عن الشدة: دخول المستشفى بسبب بكوفيد؟
💉تطعيم فايزر و بايونتيك (دخلت حالة واحدة مطعّمة🏥للمستشفى مقابل7لم يكونوا مطعمين)
💉موديرنا (🏥=0من المطعّمين، مقابل30 منهم وفاة واحدة☠في من لم يتم تطعيمهم)
💉أوكسفورد آسترازينيكا (🏥=0من المطعمين، مقابل10لم يتم تطعيمهم منهم☠=1)
(٤)
طريقة توقيت الحقن
💉فايزر/بايونتيك
(⏰جرعتين💉بفارق21يوم💉)
💉موديرنا
(⏰جرعتين💉بفارق28يوم💉)
💉أوكسفورد آسترازينيكا
(⏰جرعتين💉بفارق28-84يوم💉)
(5)
💉بايونتيك/فايزر وموديرنا تعتمد على كريات نانوية دهنية لحمل الحمض النووي داخل الجسم🧬
💉أوكسفورد يعتمد على ناقل فيروسيAdenovirusلحمل الحمض النووي🧬
⚠️الناقل الفيروسي قد يكون عامل فارق/خفض كفاءة التطعيم بناء على
⬇️العمر
⬇️الجينات: وجود أجسام مضادة -مسبقة- ضد الناقل الفيروسي
(٦)
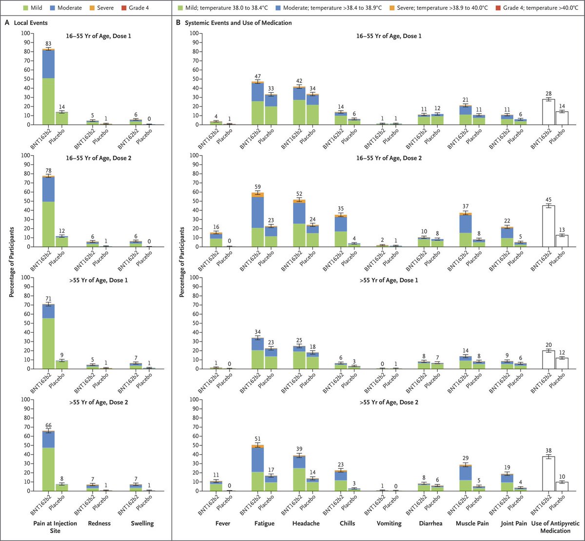
الأعراض الجانبية
✅كل التطعيمات آمنة ولم تودي بحياة الأشخاص و لكن
🔎ملاحظ تشابه الاعراض الجانبية خاصة بين 💉فايزر/بايونتيك
و
💉وموديرنا
💉موديرنا رصد فيه انتفاخ -مؤقت- لبعض العقد اللمفاومية
💉اوكسفورد اعراضه الجانبية الجسدية بعد الجرعة الأولى أكثر عددا واحتمالية في الحدوث
(٧)

جاري تحميل الاقتراحات...