مَنَارَةُ الفِيزْيَاء | Physics Lighthouse
مَنَارَةُ الفِيزْيَاء | Physics Lighthouse

@Phys_Lighthouse

13 تغريدة 8 قراءة Jan 10, 2021
#فيزياء #ثريد
يُصنف نموذج الفيزياء المعياري الجسيمات الأساسية إلى بوزونات وفرميونات. ومن المحتمل إن كنت طالب فيزياء أن تظن أن كل ما في الكون هو إما فرميون أو بوزون، ولكن في الحقيقة فإن هذا غير صحيح!
يوجد شيء آخر غير الفرميونات والبوزونات اسمه الآنيونات Anyons (مشتق من كلمة any)
(2)
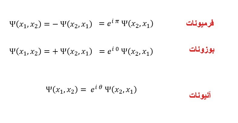
وفقاً لنظرية الإحصاء الكمي فإن الجسيمات ذات القيم الصحيحة للفّ المغزلي spin تعتبر بوزونات، والجسيمات ذات القيم نصف الصحيحة تسمى فرميونات. بسبب طبيعة الجسيمات الكمية غير القابلة للتمييز indistinguishability تصنف الجسيمات إحصائياً وفقا لسلوك دالتها الموجية عند تبديل مواقعها.
(3)
عند تبديل موقع جسيمين من الفرميونات تحصل الدالة الموجية على إشارة سالبة، بينما تبديل جسيمين من البوزونات لا يغير الدالة الموجية.
في الحقيقة يمكن التعبير عن الحالتين بطريقة واحدة مشتركة، وهي القول بأن الدالة الموجية ستحصل على معامل طور phase factor عند تبديل موقع جسيمين.
(4)
في حالة الفرميونات نقول أن الدالة حصلت على معامل طور يساوي π وأن البوزونات حصلت على معامل طور يساوي صفر ( أو 2π ).
الآن يا ترى هل يوجد في الكون شيء آخر يحصل على معامل طور غير الصفر وال π ؟
(5)
الإجابة نعم، والعجيب أن معامل الطور يمكن أن يكون أي قيمة! ولهذا سميت Anyons من كلمة anything =أي شيء.
ولكن ما الذي يقتضيه أن يكون معامل الطور غير صفر أو π ؟
هذا يعني أننا لا نستطيع استعمال توزيع فيرمي-ديراك ولا بوز-اينشتاين، وأننا نحتاج إلى إحصاءات جديدة تسمى إحصاءات جزيئية.
(6)
لماذا نحتاج توزيعات إحصائية جديدة؟
على عكس الفرميونات التي تتجنب بعضها، والبوزونات التي تحب الاجتماع ببعضها، فإن الآنيونات ستكون في حال وسط؛ فلا هي التي تتجنب تماماً بعضها ولا هي التي تقترب من بعضها، فهي تتصرف بسلوك بين سلوك الفرميونات والبوزونات.
(7)
أين توجد هذه الآنيونات؟
في الحقيقة هذا الآنيونات لا توجد في ثلاثة أبعاد؛ بل توجد فقط في أنظمة فيزيائية ذات بعدين 2 dimensions.
هذه الآنيونات تم توقعها نظرياً أول الثمانينات، وتم التحقق منها بطريقة مباشرة عام 2020 من قبل فريقين بحثيين مختلفين وظهر البحث على غلاف مجلة science
(8)
أين يمكن أن نعثر على هذه الآنيونات؟
تتم التجربة المعملية بإعداد غاز إلكتروني في بعدين 2DEG على السطح بين مادتي (GaAs/AlGaAs). ومن خلال تبريده إلى درجة حرارة حوالي 10 ملي كيلفن ومن خلال تطبيق مجال مغناطسي عالٍ يصل إلى 8 إلى 13 تسلا.
(9)
كانت التجربة الأولى عبارة عن عملية تتصادم فيها الآنيونات مع بعضها. ودلت نتائج التصادم على أن هذه الآنيونات تتصرف لا كالفرميونات ولا كالبوزونات، بل تتصرف وَفْقاً للتوقّع النظري للآنيونات، وأُثبِت أنّ معامل الطور هو (π/3).
(10)
أما التجربة الثانية فكانت عملية تداخل interference باستخدام جهاز يسمى مقياس فابري بيرو للتداخل Fabry-Perot interferometer،
وكانت الكمية الرئيسة المقيسة والدالة على وجود الآنيونات هي تغير معامل الطور للدالة الموجية بعد عملية التبديل، والذي أثبتت التجربة أنه يساوي (2π/3).
(11)
ولماذا نهتم بالآنيونات؟
بالإضافة إلى أبواب الفيزياء الجديدة التي ستفتح بسبب هذا الإنجاز،يمكن أن تستخدم الآنيونات في عمليات الحوسبة الكمية. تسعى شركة ميكروسوفت لصناعة كمبيوتر كمي قائم على الآنيونات في حين أن الشركات الآخرى كجوجل وآي بي إم وإنتل وغيرها تسعى لاستخدام طرق أخرى.
(12)
اللافت للنظر أن الشحنة الكهربائية لهذه الآنيونات أقل من شحنة الإلكترون!
فنوع الآنيونات المقيس في هذه التجربة شحنته تساوي ثلث شحنة الإلكترون!
وفي الحقيقة تعتبر هذه الآنيونات أشباه جسيمات quasiparticles وتظهر بشحنة جزئية (جزء من شحنة الإلكترون كثلث وخمس وغيرها)
(13)
وسنتكلم عن أشباه الجسيمات هذه وعن ظهورها بشحنات كهربئية جزئية في سلاسل قادمة بإذن الله.
- انتهى

جاري تحميل الاقتراحات...