إبراهيم المسعود
إبراهيم المسعود

@i_Almasoud

11 تغريدة 137 قراءة Dec 20, 2020
ما هو نوع كورونا الجديد الذي ظهر في جنوب بريطانيا وهل سيأثر على اللقاح أو يسبب إصابات مرة أخرى؟
#السلالة_الجديدة #كورونا
(1/11)
هذا النوع له الاسم B.1.1.7 او VUI-202012/01 وكلاهما يعني النوع الذي له 17 طفرة ، 3 مهمين في غلاف كورونا S:
1️⃣ الطفرة N501Y
2️⃣ طفرتي مسح 69-70
3️⃣ الطفرة P681H
4️⃣ وطفرة مسح كبيرة Q27stop في بروتين ORF8
(2/11)
1️⃣ طفرة الغلاف N501Y في مكان الالتصاق مع المستقبل ACE2 وهذا مكان حساس يسبب تغيير قدرة كورونا على الالتصاق والدخول على الخلايا مما يحفز الانتشار
أثبت ذلك فريق بحثي صيني قبل 3 أشهر بعد صنع نوع ينتشر بسرعة في فئران المختبر ، كما في الصورة المرفقة
(3/11)
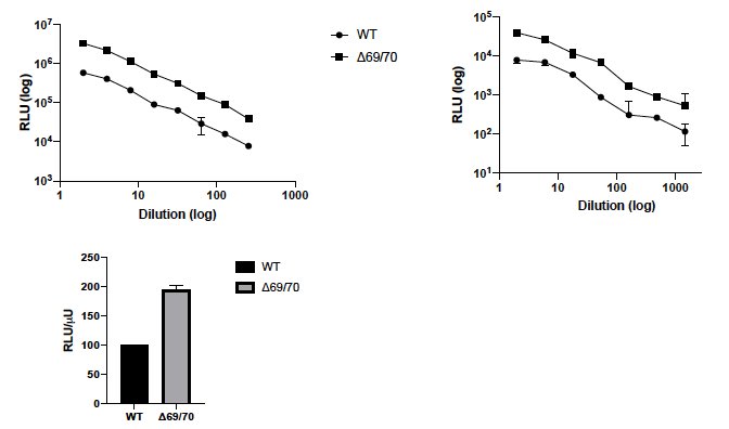
2️⃣ طفرة مسح الأحماض الأمينية 69-70 قد تسبب تقليل قدرة الأجسام المضادة على مكافحة الكورونا
ففريق Ravi Gupta في جامعة كامبردج صنع غلاف مع طفرة مسح 69-70 زائد طفرة أخرى D796H الذين معاً جعلوا الكورونا ينتشر أسرع وكانت له مقاومة أكثر لأجسام مضادة من 4 اشخاص مختلفين
(4/11)
3️⃣ الطفرة P681H جزء من مكان قص الغلاف وهذه المنقطة هي التي تميز كورونا الجديد SARS-CoV-2 عن كورونا SARS-CoV القديم
هذه المنطقة حساسة للطفرات ففريق الماني صنع طفرة مشابهة جعلت كورونا ينتشر اسرع خلال تغيير تركيبة القص من PRRA الى RRRK
(5/11)
الذي حدث هنا HRRA ولا يُعلم تأثير هذه الطفرة ولكن نعلم ان هذا التغيير غير محمود
تراكم هذه الطفرات لم يُرى من قبل وبحث Ravi Gupta وجد حدوث بعض هذه الطفرات تلقائيا في مريض سرطان أُعطيَ أجسام مضادة من متطوّعين حتى تغلب الكورونا على هذه الأجسام وتحول داخله
(6/11)
4️⃣ طفرة المسح المهمة الأخيرة هي Q27stop التي مسحت 80% من البروتين ORF8
لا يُعلم كثيراً عن هذا البروتين ولكن فريق سنغافوري وجد ان طفرت المسح هذي قللت من شدة الكورونا حيث نعتقد أن هذه الطفرة عطّلت البروتين ORF8
هذه الطفرة شيء جيد يقلل الإصابة الشديدة
(7/11)
فبإختصار النوع الجديد له 3 طفرات مهمة في الغلاف:
1️⃣ الطفرة N501Y التي قد تزيد من قدرة كورونا على الانتشار
2️⃣ طفرتي مسح 69-70 التي قد تسبب ضعف الاستجابة المناعية
3️⃣ الطفرة P681H الذي قد ايضاً تزيد من قدرة الانتشار
4️⃣ وطفرة مسح Q27stop في بروتين ORF8 التي قد تقلل الإصابة الشديدة
حالياً نصف الحالات الجديدة في جنوب بريطانيا من هذا النوع الجديد وثبت احصائياً أنه ينتشر اسرع بنسبة 70%
هذه الطفرات المتراكمة لا تؤثر على من أخذ اللقاح لأن اللقاح يطوّر اجسام مضادة ضد اجزاء كبيرة من الغلاف ويجب حدوث العشرات من الطفرات قبل ان يكون اللقاح غير فعّال
(9/11)
قد يصيب هذا النوع الجديد من تعافى من الكورونا لأن المتعافي من المرض يطوّر اجسام مضادة ضد اجزاء الفيروس كله وليس الغلاف S فقط
فهذه الطفرات قد تغيّر الشكل الذي يعرفه جهاز المناعة كما اشار إلى ذلك Ravi Gupta وTrevor Bedford في سلسلة تغريداته تحت
(10/11)
لا نستطيع الجزم بأي حقيقة عن هذا النوع الجديد حتى تظهر نتائج مختبرية مؤكدة أو نافية
تراكم هذه الطفرات من سلالات مختلفة قد يكون ناتج من إعادة تركيب كما رأى ذلك فريق البروفسور فهد الملا في معهد دسمان بالكويت
(11/11)

جاري تحميل الاقتراحات...