عبدالله العُمري
عبدالله العُمري

@AlomariV4

17 تغريدة 163 قراءة Dec 15, 2020
مكتب التحقيقات الفدرالي (FBI) نشر قبل يومين تغريدة حول ثلاثة أشخاص من بينهم عالم رياضيات تمكنوا من فك رموز رسالة السفاح الشهير زودياك، والذي حيّر المحققين لسنوات.
فما علاقة علم الرياضيات بحل الجرائم والتعامل مع البصمات وإعادة بناء الحوادث وأرقام لوحات السيارات وتتبّع أثر السموم.
تواجه الشرطة العديد من التحديات لدى التحقيق في جريمةٍ ما، فعليهم أن يكتشفوا ما حدث في مسرح الجريمة أو الحادث، وأن يفسروا البيانات المُحيرة التي يجب عليهم إيجادها وتخزينها وتفسيرها باستخدام المويجات وعلم الاحتمالات وعلم الإحصاء، ويمكن تناقلها باستخدام الأعداد الأولية وعلم التشفير.
مثال:
لنفترض أن هناك سيارة هاربة من سيارات الشرطة بعد استخدامها في جريمة سطو مسلح على أحد البنوك، وعلى الرغم من هروب الجاني في السيارة، إلا أن الشرطة تبدأ بالمطاردة، وقد تتمكن من التقاط صورة لرقم لوحة السيارة؛ وهو خبر جيد، لكن الخبر السيء أن الصورة كانت ضبابيةً وغير واضحة تمامًا.
هنا يأتي دور علم الرياضيات إذ يمكننا أن نُنمذج عملية الضبابية رياضيًا لنزيل بعض الضبابية ونحصل على صورة أوضح للوحة، ويتضمن النموذج تابعًا ضبابيًّا g يطبق على الصورة الأصلية ليعطينا صورة تُعرف بالصورة الضبابية، كما يصف المتحول x البيكسلات المتعددة في الصورة.
حيث كل بيكسل رقمًا خاصًا به ويسمى (قيمة البيكسل) والذي يعطينا هذا الرقم معلوماتٍ عن اللون ومقدار السطوع، يعطينا التابع (f(x قيمة البيكسل x قبل أن تطبق عليه الضبابية، أما (h(x فيعطينا قيمته بعد تطبيق الضبابية.
يظهر الشكل الأيمن صورة لبصمة غير واضحة المعالم، وبتطبيق العمليات الضبابية على نحو عكسي نحصل على صورة أوضح للبصمة.
مثال آخر
تم العثور على جثة ممدة على الأرض أسفل إحدى العمائر السكنية، ليأتي السؤال هل كان حادث انتحار أم قتل❓
باستخدام المسافة المقاسة من المبنى جنبًا إلى جنب مع بعض الهندسة والديناميكيات الأولية، يمكن لخبراء مسرح الجريمة تكوين رأي حول ما إذا كانت الضحية قد سقطت أو قفزت أو دُفعت.
كذلك في القضايا الجنائية للأسلحة والمقذوفات النارية، يمكن حساب زاوية ارتداد الرصاصة من سطح صلب (حساب المثلثات)، حيث يمكن تحديد مسارات الرصاص والمسافة من مطلق النار إلى الهدف، وربما إرتفاع الرامي والمكان الذي كان يقف فيه عندما أطلق النار على ضحيته.
وغالبًا ما يكون الدليل نتيجة عملية فيزيائية مفهومة جيدًا؛ كآثار انزلاق إطار السيارة عندما تكون مسرعة على سبيل المثال، لكي نجد المسبب الحقيقي للدليل (سرعة السيارة) علينا أن نطبق الرياضيات المستخدمة لوصف العملية الفيزيائية هذه على نحو تراجعي، يسمى ذلك بإيجاد الحل (المشكلة العكسية).
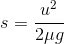
لنفترض أننا نحقق في حادث سير، وعلينا أن نجيب عن السؤال الآتي:
هل كانت إحدى السيارات متجاوزة للسرعة القانونية قبل الحادث⁉️
الأدلة المتوفرة هي آثار الضرر الذي أحدثه الاصطدام في المركبتين وتقارير الشهود وآثار انزلاق إطارات السيارات، فمن الممكن إعادة بناء الحادث بواسطة فحص آثار الانزلاق؛ فعلامات الانزلاق نتجت من سرعة السيارة وغيرها من العوامل مثل قوة المكابح والاحتكاك مع الطريق وتأثير السيارات المجاورة.
تمكننا حينها الرياضيات من استخدام بعض الميكانيكيات لنمدجة هذا الحدث رياضيًّا باستخدام s طول آثار الانزلاق، وu سرعة السيارة، وg التسارع بالنسبة للجاذبية الأرضية، وμ معامل الاحتكاك مضروبًا بفعالية المكابح.
ليقوم النموذج بربط المسبب (سرعة السيارة) بالأثر (بُعد آثار الانزلاق).
مثال آخر
في إحدى القضايا التي تواجه الشرطة، وهي تسرب ملوثات كيميائية على نحو غير قانوني إلى الشبكة المائية، فهل باستطاعة الشرطة تحديد مكان حدوث التسرب بعد تنبُّه الشرطة إلى وجود الملوثات لاحقًا❓
لكي نجد المكان الذي تسربت منه الملوثات علينا أن نُنمذج كيفية انسياب المياه والمُلوثات في الشبكة، فقد تمددا الملوثات واختلطت بجريان المياه عبر الأنابيب، وتفاعلت مع المادة المكونة لجدران الأنابيب، فضلًا عن كونها تفسخت بسبب تفاعلات كيميائية أخرى.
ولإعادة بناء ما حدث في شبكة المياه، نحتاج إيجاد مُعدلات التدفق في الأنابيب، ويجب قياس التركيز الحالي للملوثات في التقاطعات، ومن ثم يمكن تخمين تركيز الملوثات الابتدائي في كل تقاطع وجعل النموذج يتحد مع الزمن، وأخيرًا يُقارن مع ما وُجد في الشبكة الحقيقية.
كما يستخدم التحليل الإحصائي الكمي لمقارنة مجموعات من القياسات التجريبية في مجالات علوم الأدلة الجنائية، لتحديد ما إذا كانت متشابهة أو متميزة، ينطبق هذا على شظايا الزجاج وعينات الأدوية والشعر والألياف وحبوب اللقاح وتسلسل الحمض النووي.
المصدر مع بعض التصرف والزيادة للأمثلة:
syr-res.com

جاري تحميل الاقتراحات...