24 تغريدة 167 قراءة Nov 24, 2020
بسم الله:
علم الرياضيات علم عملاق؛ لكنك ماتحتاج تدرسه كله عشان تفهم العلوم الاخرى..بهذا الثريد احط لكم اهم الكتب والمراجع لدراسة كل الرياضيات اللي تحتاجها سواء كنت مهندس او فيزيائي او حتى تخصص اخر..
نبدأ بعلم الجبر:
علم الجبر هو اول علوم الرياضيات اللي يتعلمها طلاب العلم بعد دراسة الارقام وانواعها. علم الجبر تم تأسيسه على يد العالم المسلم محمد ابن موسى الخوارزمي..الخوارزمي كتب كتابة اسمه "المختصر في علم الجبر والمقابلة" وفي هذا الكتاب اكتشف الخوارزمي القانون العام
هذا القانون مهم جدا فهو يحل كل المعادلات التربيعية بدون استثناء. كذلك الخوارزمي دخّل مفهوم الرقم صفر وجابه لنا من الهند وهو اول من استعلمه بشكل اساسي. وعلم الجبر هو حجر الاساس بالرياضيات كلها وهو العلم اللي تقوم عليه كل فروع الرياضيات الاخرى. ماهو علم الجبر؟
هو علم يهتم بإيجاد القيم المجهولة في المعادلات الرياضية. وكان يستخدم بشكل اساسي عند المسلمين لتقسيم المواريث. افضل الكتب اللي تشرح علم الجبر من تجربتي الشخصية هو كتاب:
College algebra and trigonometry by n. Aufmann وهذي صورته (انتبوا لأسم المؤلف ترا فيه كتب كثير لها الاسم نفسه)
هذا الكتاب يحتوي على كل الجبر اللي تحتاجه وبتكمل الفايدة اذا اشتريت ملخص اولدات ادهم للرياضيات ٠٠١ (من جامعة البترول) الملخص هذا يحتوي على اسأله مهمة جدا وطريقة حلها. اسأله الكتاب جدا سيئة وسطحية ماتكفي عشان تعمق فهمك للمادة.
العلم الثاني هو علم حساب المثلثات:
هذا العلم يختص بدراسة كل شيء مرتبط بالمثلث من الدوال المثلثية الى الخصائص المثلثية الى مساحات المثلثات وقوانين الساين والكوزاين وكل شي مرتبط بالمثلث..ولن تستطيع (واسمعها مني عدل) انك تكمل بدراسة علم الرياضيات اذا ماتشربت علم حساب المثلثات كله
علم حساب المثلثات مايجي بالعادة ككتاب لحالة؛ غالبا مايجي مدموج مع علم الجبر؛ الكتاب اللي ذكرته لكم فوق لعلم الجبر يحتوي على علم حساب المثلثات كامل..ومحتواه رائع..اذا علم الجبر وحساب المثلثات لهم نفس الكتاب👍🏻
العلم الثالث هو علم الهندسة الاقليدية؛ وهذا العلم مايحتاج انك تشتري له كتاب؛ هو قصير جدا وممكن الخصه لك ب٤ صفحات تقريبا؛ لذلك دائما تلقاه موجود ببداية كل كتاب جبر، والكتاب اللي ذكرته لكم فوق يحتوي على قوانين الهندسة الاقليدية ايضا فمايحتاج تشترون كتاب اخر. وشهي الهندسة الاقليدية؟
الهندسة الاقليدية هي علم حساب مساحات الاشكال واضلاعها والعلاقة بينهم. مثلا مساحة المربع تساوي طول الضلع بنفسه؛ مساحة الدائرة تساوي نصف القطر ضرب نصف القطر ضرب ط ...الخ.
العلم الرابع هو علم ماقبل التفاضل والتكامل: وهو نوع من انواع علم الجبر المتقدم جدا ويهتم في دراسة الدوال ومعرفة مجال ومدى كل دالة ومعرفة اصفار كل دالة ورسم كل دالة ودراسة سلوك الدوال وكيف يتغير رسم الدالة اذا المعادلة حقتها تغيرت. هذا العلم انا درسته مرتين صراحة
مره في جامعة البترول ومره في امريكا. وصراحة منهج البترول جدا بطل وقوي..يرسخ المعلومة في مخك غصب. وطبعا الكتاب المسؤول عن هذا العلم هو نفس الكتاب اللي ذكرته لكم فوق🙂. ايه نعم عزيزي الكتاب ذاك رهيب وشامل. وفيه كتاب اخر ايضا بذكره بعد شوي.
الان انت عزيزي مهيأ انك تدخل في دراسة اهم فرع من فروع الرياضيات: الاوهو علم الحسبان، والمعروف محليا بعلم حساب التفاضل والتكامل. هذا اهم علم بالرياضيات كلها والانسان اللي كتب قوانين هذا العلم هو المسؤول عن كل التطور اللي وصلنا له اليوم. هذا العلم نقلنا نقله مخيفه جدا
وتكمن قوته في استطاعته حساب الاشياء اللي انت تحس اننا صعب نحسبها. مثلا: شفت هذي المساحة المظللة تحت الخط المنحني؟ كيف تحسبها؟ لو تموت مارح تقدر تحسبها..علم الحسبان يحسبها لك!طيب كيف نحسب طول الخط المنحني؟ المسطرة ماتحسب طول الانحناء وش نسوي؟ علم الحسبان يحسب لك طول الخط المنحني!
ثابت بن قرة له اعمال فيه التمهيد لنظرية التفاضل والتكامل ؛ فهو درس الحدود وكتب فيها قوانين مهدت الى ولادة التفاضل والتكامل بالسنين المقبله. ثم جاء نيوتن واكتشف علم التفاضل والتكامل لأنه كان طفشان (ما امزح) وصار يستخدمه في معادلاته حقت الحركة وقدمه للعالم بكتابه الشهير برينسيبيا
العلم هذا قوي جدا وتطبيقاته مذهله خصوصا لما يكون الموضوع له علاقة بالتنبؤات..وافضل كتاب شفته بحياتي يشرح علم التفاضل والتكامل هو كتاب:
Calculus: early transcendentals by Briggs
الطبعة الثالثة؛ هذي صورته. طبعا الكتاب بالبداية بيشرح لك النهايات وشوية اساسيات لازم تعرفها اول
ثم بعدها بيشرح لك التفاضل والتكامل. التفاضل والتكامل ينقسم الى ٣ مستويات.
المستوى الاول: علم حساب التفاضل. وهذا العلم يختص بدراسة معدلات التغير. يعني يحسب لك معدل تغير اي شي. مثل معدل تغير سرعة انسان طايح من فوق عمارة (لأن سرعته تزيد كل ثانية وماهي ثابته وهو قاعد يطيح)
طبعا التشابتر الثاني والثالث والرابع بالكتاب هم اللي يحتوون على علم التفاضل.
بعد التفاضل يجي التكامل: وهو علم حساب التغيرات المتراكمة: وهو يحسب لك طول الخط المنحني، ومساحة اي شكل عشوائي مثل الموجود بالصورة. وطبعا يحسب لك بلاوي زرقا كثير..
التكامل موجود بالتشابترات من ٥-٨ بالكتاب
بعد مانخلص المستوى الثاني ننتقل للمستوى الثالث. انت الان عرفت التفاضل والتكامل بس تحتاج تتعلم تطبقه على كل انواع الدوال. فيه دوال بالرياضيات لها مخرج واحد واكثر من مدخل وكذا نكتبها: f(x,y) بدال ماتصير f(x) العادية اللي كلنا نعرفها.
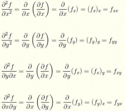
المستوى الثالث من التفاضل والتكامل يعلمك كيف تطبق مبادئ التفاضل والتكامل على هذا النوع من الدوال. ويشرح لك شي مهم جدا اسمها التفاضل الجزئي partial derivative صوره التفاضل الجزئي موجوده هذي هي؛ واتوقع انك سبق شفت هذي الرموز مسبقا، بفلم وثائقي مثلا
التشباتر: من ١٢ الى نهاية الكتاب
الان عزيزي الف مبروك! انت خلصت التفاضل والتكامل كله! بس ما انتهت الرحلة..الان ندخل بعلم اسمه علم المعادلات التفاضلية. شفت المعادلات اللي كنا نكتبها بعلم الجبر؟ مو صح نحل المعادلة عشان نطلع قيمة x ? هذا العلم يشبه علم الجبر بس بستخدام التفاضل والتكامل. بدال مانطلع x نطلع الدالة
مثلا: وشهي الدالة اللي لو سوينا لها تفاضل وزدنا ٢ضرب الدالة الاساسية = صفر؟ وعاد تقعد انت تحل وتطلع لهم الدالة؛ افضل كتاب لدراسة هالعلم هو كتاب: Elem. Differential Equations w/ Boundary Value Problems, Trench
وهو كتاب مجاني، تقدر انك تحمله من النت ببلاش.
يبقى لنا اخر فرع من فروع الرياضيات الا وهو: linear Algebra او المعروف بالجبر الخطي. انا صراحه درست هذا العلم اثناء دراستي للكتب اللي عرضتها لكم فوق؛ ومادرست كل شي فيه؛ فقط درست الاشياء اللي احتاجها؛ لذلك ما اقدر انصحكم بكتاب معين لأن ماعندي تجربة؛ لكن عموما:
اي احد يبغى يتعلم نظرية الكم؛ لازم انه يدرس هذا العلم.
انتهى الثريد ويارب انكم استفدتوا🌹🖤
هذي نصيحه وحدة مختصة بالرياضيات؛ تنصحكم بهالكتاب لدراسة الجبر الخطي: linear algebra

جاري تحميل الاقتراحات...