• لمحة تاريخيّة عن أعظم الاختراعات البشريّة (البلاستيك) 🐸⚗️🧪💘✨ ،،
• هل سبق وأنْ تأمّلتم الأشياء مِن حولنا، الأثاث، الأصباغ والطّلاءات، الألعاب، وسائل النّقل، المُعِدّات الطبيّة، الحِبْر . . المِظلَّات ومُختَلف المُعِدّات . . جميعها لا تخلو مِن البوليمرات!
#معلومات_كيميائية
• هل سبق وأنْ تأمّلتم الأشياء مِن حولنا، الأثاث، الأصباغ والطّلاءات، الألعاب، وسائل النّقل، المُعِدّات الطبيّة، الحِبْر . . المِظلَّات ومُختَلف المُعِدّات . . جميعها لا تخلو مِن البوليمرات!
#معلومات_كيميائية
• قَدْ نعتقد جميعًا بأنّ البوليمرات لم يكُن لها وجود في حياتنا إلَّا بعد اكتشافها عن طريق التَّجارِب الكيميائيّة في المُختَبرات. الحقيقة هي أنّ الحياة البشريّة لطالما استفادت منها مِنذ آلاف السنين، لكن (الطّبيعيّة) مِنها وليسَ المُحضّرة . . دون معرفة تركيبها❗️
#معلومات_كيميائية
#معلومات_كيميائية
• والمذكور أعلاه على سبيل المِثال لا الحَصْر لبعض البوليمرات الطبيعيَّة . . المطّاط الطبيعي Natural Rubber يُستخرج مِن سيقان الشّجر، شجر ينمو في المناطق الحارّة منها الموجودة في البرازيل باسم Hevea Brazilensis. يُسمَّى البوليمر Polyisoprene بصيغة موضَّحة أدناه.
#معلومات_كيميائية
#معلومات_كيميائية
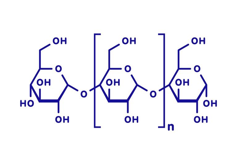
• أمَّا بالنِّسبة للذُّرة والبطاطا 🌽🥔 فهي مصدر طبيعي وأساسي للنِّشاء Starch وهو عديد التسكُّر Polysaccharide ولهُ صيغة موضَّحة في الصورة أدناه.
#معلومات_كيميائية
#معلومات_كيميائية
• إذًا في البداية، مالمقصود بكلمة (بوليمر - Polymer)⁉️
إنَّ كلمة Polymer لاتينية وتعني (متعدد الأجزاء):
Poly = متعدد
mer = جزء
يُمكن تصنيف هذه البوليمرات بناءً على عوامل عدة كالمصدر، استجابتها للحرارة، البُنيَة الخطيَّة، ميكانيكيّة البلمرة وغيرها . . ⬇️
#معلومات_كيميائية
إنَّ كلمة Polymer لاتينية وتعني (متعدد الأجزاء):
Poly = متعدد
mer = جزء
يُمكن تصنيف هذه البوليمرات بناءً على عوامل عدة كالمصدر، استجابتها للحرارة، البُنيَة الخطيَّة، ميكانيكيّة البلمرة وغيرها . . ⬇️
#معلومات_كيميائية
• إنَّ للبوليمرات كما ذكرت أجزاء متعدِّدة ومُتكرِّرة ينتج عنها سلاسل طويلة ⛓قد تكون خطيَّة أو مُتَشابِكة ممَّا يؤثِّر على خواصّها . . الجُزء المُتكرّر فيها يُعرَف بالمونمر Monomer . .
ويجدُر التنويه إلى ضرورة التفريق بين:
Polymer
Oligomer
Macromolecule
#معلومات_كيميائية
ويجدُر التنويه إلى ضرورة التفريق بين:
Polymer
Oligomer
Macromolecule
#معلومات_كيميائية
• هذهِ السلاسل الناتجة (البوليمرات) يُمكن مِن خلالها تشييد وإنتاج مواد فائقة الأهميَّة ومُتعدِّدة التطبيقات على صورة ألياف Fibers، أفلام Films، طلاءات Coatings، مواد لاصقة adhesives، مُثبِّتات Stabilizers في منتجات عديدة . . وغير ذلك ⚗️💘✨.
#معلومات_كيميائية
#معلومات_كيميائية
• هذه سلسلة كيميائيّة سأعمل على إكمالها اليوم -بإذن الله- فضّلوها . . تعمّدت أبسِّط المُفردات لأنَّني أعشق أنْ تصِل هذهِ المعلومات الكيميائيَّة ليسَ فقط لنا نحنُ المتخصصين في الكيمياء، بل لِعامَّة النَّاس استمتعوا بالحياة مِن حولكم (ترى كلّها كيمياء) 🐸♥️⚗️🧪✨.
الله ينفع بها ،،
الله ينفع بها ،،
جاري تحميل الاقتراحات...