Be Warnᅠᅠᅠᅠᅠᅠᅠᅠᅠᅠᅠᅠᅠᅠᅠᅠᅠᅠᅠᅠᅠᅠᅠᅠᅠᅠᅠᅠᅠᅠᅠᅠᅠᅠ
Be Warnᅠᅠᅠᅠᅠᅠᅠᅠᅠᅠᅠᅠᅠᅠᅠᅠᅠᅠᅠᅠᅠᅠᅠᅠᅠᅠᅠᅠᅠᅠᅠᅠᅠᅠ

@BeWarnBW

13 تغريدة 38 قراءة Jul 25, 2020
Ad Hoc network
كيف يتم التواصل بين الجيوش او مراكز التحكم او قيادتهم
سوف أشرح طريقة التواصل في هذه التغريدات
@PrograminLovers
مثال
عند ذهاب جيش معين لدولة معينة
يحتاج الجيش عمل شبكة خاصة بهم لحماية أنفسهم من أن يتجسس العدوى عليهم
ايضا لان يستخدموا شبكات الاتصالات العادية خوف من شركات الاتصال بأن تسرب المعلومات للعدوى
قامت شركة اسمه DARPA بعمل أبحاث في هاذا المجال والتي تعرف باسم
Ad Hoc Network
مثال إذا احتاج جيش شبكة خاصة به هي تعمل له الشبكة
كيف تشتغل هاذه الشبكة
هاذه الشبكة لا تحتاج إلى راوتر او للسويتش او ابراج اتصالات
يقوم الجيش بتوزيع جهاز
هاذا الجهاز (Device)
يحتوى على برنامج(Application) معين
وفي الجهاز كرت شبكة network card
ويتم تحديد بروتوكول Protocol
@alaraby_ar
مثال
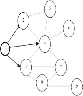
عندي خمسة أجهزة
الجهاز الاول يصل لمسافة ٢٠ متر
يعنى شخص على و ٢١ متر ما تقدر تتوصل معه
لكن لو الشخص الآخر على مسافة ٢٠ متر بإمكان الجنديين التواصل معا بعض
تمام اخي انا اريد الارسال إلى الجندي رقم ٩ كيف ارسل ؟
طبعا هاذا البروتوكول يعمل عملية اسمة استكشاف او Discovery
الجهاز رقم ١ ايبعث للأجهزة المجاورة والأجهزة المجاورة تبعث ايضا للأجهزة الأخرى بحيث تربط الأجهزة بعضها البعض
بعد أن عرف ان جهاز رقم ٩ ضمن الشبكة يقوم بالارسال
اولا كل جهاز في الشبكة يسمىnode
نحن كيف نعرف ان الجهاز ضمن الشبكة ؟
احنا بنعمل شي اسمة Ping
Ping وهنأ تكتب الاي بي الخاص بالجهاز
القيادة تتواصل معا الإسعاف وتسئل الدبابة ١ عندك هي تسئل اقرب أجهزة الجنود حتى تصل للدبابة
وكل هاذه المعلومات تسجل في جداول وكل جهاز يسجل اقرب أجهزة
في هاذا الرسم نعرف كيف يتم التواصل بين الاجهزة
وهاذا شي يسمى mobile ad hoc
وهو أصعب انواع ad hoc
لاننا نتواصل معا شبكات ما تملك بنية تحتية وتكون ايضا متحركة
هاذه التقنية تستخدم في مجالات أخرى
مثل السيارات
إذا تريد تروح يمين بتحرك ان في سيارة التي من اليمين
اذا أحتجت ان تنقل البيانات لمسافات بعيدة يتم نقلة عبر كيبلات فايبر
Optic Fiber
هناك بعض الأنظمة التي تم تطويرة في الأردن ومصر وغيرة
وتسمى C4ISR
وقد تم تطويره إلى C5ISR
و C6ISR
BAE System
وهي تقوم بتطورات في هاذا المجال واخر سلاح كان Flagon او الصقر
وقد باعوا نسخة في ٢٠١٥ للامارات وايضا تم بيع بيع نسخةللجيش البريطاني
إذا أرتم أن اشرح بتفصيل ارجو ان تعلق في المنشور

جاري تحميل الاقتراحات...