مع اعلان هيئة سوق المال بدء تداول المشتقات الماليه تحديدا العقود المستقبليه علىMT30فاحببت شرح ماهي العقود المستقبليه وطريقه حساب قيمه العقد مع مثال مبسط للتحوط
العقود المستقبليه عقود تلزم المشتري بشراء اصل معين وتلزم البائع بتسليم او بيع الاصل بسعر معين في وقت معين وهو مايجعلها
العقود المستقبليه عقود تلزم المشتري بشراء اصل معين وتلزم البائع بتسليم او بيع الاصل بسعر معين في وقت معين وهو مايجعلها
مختلفه عن عقود الخيار مثلا التي تعطيك الحق وليس الالتزام،ولذلك تصنف العقود المستقبليه كمشتقات ذات التزام مستقبلي Forward Commitmentبعكس الاوبشن او عقود الخيار التي تصنف كاcontingent claimكونها تعتمدعلى تحقق سعر التنفيذ strike price
العقود المستقبليه تتميز عن العقود الاجله forward
العقود المستقبليه تتميز عن العقود الاجله forward
بوجود تسويه يوميه daily settlement مابين طرفي العقد long side وهو المشتري للعقد والبائع وهو short side ( رغم ان التوضيح الافضل خاصه في العقود المستقبليه هو انك تدخل في العقد كونك ستستلم الاصل او تشتريه اذا كنت في long sideاو تسلم تبيع الاصل اذا كنت في short side )
التسويه اليوميه
تتم بتسويه الارتفاع او الانخفاض في سعر العقد المستقبلي في السوق ،فمثلا اذا كنت فيlong sideوارتفع سعر العقد المستقبلي فانه الفرق مابين السعر الذي التزمت به بالشراء (سعر التسليم اذا احببت)و سعر العقد في السوق سيضاف او يسوى الى حساب الهامش الخاص بك وبالعكس اذا انخفض
تتم بتسويه الارتفاع او الانخفاض في سعر العقد المستقبلي في السوق ،فمثلا اذا كنت فيlong sideوارتفع سعر العقد المستقبلي فانه الفرق مابين السعر الذي التزمت به بالشراء (سعر التسليم اذا احببت)و سعر العقد في السوق سيضاف او يسوى الى حساب الهامش الخاص بك وبالعكس اذا انخفض
سعر العقد في السوق فان الفرق مابين السعرين سيخصم من حساب الهامش تذكر ان الطرف الاخر العمليه لديه معاكسه واقصد short side فهو يخسر عند ارتفاع السعر في السوق ويكسب عند انخفاضه فبالتالي مايكسبه احد الطرفين هو خساره للاخر . يمكنك التفكير فيها كا Zero sum game .
لتفهم العمليه بشكل
لتفهم العمليه بشكل
بسيط تذكر جيدا ان الطرف فيshort side يتوقع انخفاض السعر مستقبلا بمعنى انه دخل في العقد ليسلم سلعه سعرها في المستقبل سيكون اقل من السعر الذي التزم به ليسلم الاصل وبالتالي سيسلم اصل سعره منخفض بسعر اعلى، اما الطرف الاخر long side فهو يتوقع العكس تماما فهو يتوقع ارتفاع الاصل مستقبلا
وبالتالي سيستلم اصل سعره اعلى بسعر منخفض ، لفهم العمليه تمام تذكر ان سعر العقد مابين الطرفين يمكن اعتباره ثابت (لكن نفس العقد متغير السعر في السوق ( عقد بنفس تاريخ التسليم ونفس عدد الوحدات الخ)
طبعا اذا كانت توقعاتك خاطئه واردت وقف الخساره او اذا كانت توقعاتك صحيحه واردت الاحتفاض
طبعا اذا كانت توقعاتك خاطئه واردت وقف الخساره او اذا كانت توقعاتك صحيحه واردت الاحتفاض
بالمكسب قبل انتهاء مده العقد فما عليك الا ان تقوم بالدخول في عقدمطابق لذلك العقد لكن في الطرف المعاكس فمثلا اذا كنت في long sideفانك ستكون في العقد الاخر في short side وبالعكس وبنفس عدد العقود المفتوحه وتاريخ انتهائها وبالتالي تلغي تلك العقود العقود الاخرى
طبعا العقود المستقبليه
طبعا العقود المستقبليه
للمؤشرات يتم التسليم فيها نقدا وليس كانواع العقود المستقبليه الاخرى على السلع (الذهب،البترول ،بن ،ماشيه الخ) حيث يتم تسليم السلع نفسها اذا لم تغلق العقد قبل انتهائه ، وطبعا هناك فرق حتى في طريقه تسعير تلك العقود عن العقود المستقبليه على السلع كون العقود المستقبليه على الادوات
الماليه مثلا لاتتضمن تكلفه التخزين لكن بالطبع تتضمن تدفقات نقديه كتوزيع الارباح او الفائده في عقود العملات.
اما بالنسبه لحجم العقد فانه يمكن حسابه عن طريق ضرب قيمه كل نقطه من نقاط المؤشر بقيمتها فمثلا عقودE-mini S&P 500 يمكن الوصل الى حجهمها عن طريق ضرب 50$ بعددنقاط المؤشر فلو
اما بالنسبه لحجم العقد فانه يمكن حسابه عن طريق ضرب قيمه كل نقطه من نقاط المؤشر بقيمتها فمثلا عقودE-mini S&P 500 يمكن الوصل الى حجهمها عن طريق ضرب 50$ بعددنقاط المؤشر فلو
افترضنا ان نقاط المؤشر 3200 نقطه يصبح قيمه العقد 160000دولار (50*3200) وبالنسبه للعقود على مؤشر MT30 فانه حسب موقع الهيئه فان حجم العقد سيكون 100* عدد نقاط المؤشر فلو اخذنا اقفال الامس يصبح حجم العقد 101,074 ريال (100*1010,74) .طبعا في العاده يكون هناك هامش مبدئي
وهو المبلغ الذي تودعه كجزء من قيمه العقد اذا اردت الدخول في تلك العقود وهو جزء صغير من قيمه العقد ( قد يصل مثلا الى 10%من قيمه العقد او اكثر)
اما عن التحوط فان ابسط انواعه باستخدام العقود المستقبليه هو long hedge وshort hedge فمثلا يستطيع اي مصنع يقوم باستخدام سلعه معينه لانتاج
اما عن التحوط فان ابسط انواعه باستخدام العقود المستقبليه هو long hedge وshort hedge فمثلا يستطيع اي مصنع يقوم باستخدام سلعه معينه لانتاج
منتجاته بالدخول في العقود المستقبليه او تحديدا ان يكون في long side وبالتالي يستطيع تثبيت سعر تلك السلع التي يستخدمها في الانتاج والتحوط من ارتفاع سعرها وهو مايسمىlong hedgeفمثلا لو افترضنا ان تلك السلعه المنيوم فان المنتج للالمنيوم والذي يكون في short side لهذا العقد او من باع
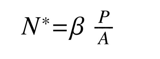
المستقبلي الواحد و B هي بيتا للمحفظه ، المعادله ستعطيك عدد العقود الازم الدخول فيها في short side بمعنى بيعها وبالتالي فان الانخفاض الناتج في قيمه المحفظه سيتم تعويضه بالارباح من العقود المستقبليه (تذكر انت في short side وبالتالي انت تربح من انخفاض الاسعار )طبعا هناك انواع اخرى
للتحوط يمكن استخدامها وانواع اخرى بمشتقات ماليه مختلفه بقي ان اذكر ان عمليه التحوط هنا في المثال اعلاه ليست مثاليه لكون المحفظه تختلف من حيث الاصول عن العقود المستقبليه المبنيه على المؤشر والتي تتكون من اسهم المؤشر بعكس المحفظه وعمليه التحوط تستهدف المخاطر المنتظمه وهو سبب اخر
لاستخدام العقود المستقبليه للمؤشرات كونها تمثل السوق. طبعا هناك طرق اخرى لقياس فعاليه التحوط او استهداف بيتا معينه لتصبح حركه المحفظه مع السوق (بيتا المحفظه) اقل عن طريق تغيير عدد العقود المستقبليه .
ملاحظه (تجنبت استخدام بعض المصلحات كالسعر الفوري Spot price وسعر التسويه للتبسيط وارجو ان اكون وفقت في ذلك )
جاري تحميل الاقتراحات...