هل ترى الرقم باللون الاسود في الصورة ... هذا الرقم يمثل 340 الف شخص توفي ب كوفيد-19 بعد ان كانت حالتهم حرجة ... و كانوا يحتاجون الى دواء شاف لانقاذهم
(1)
(1)
هذة هي النتائج التي انتهت اليها التجربة السريرية التي:
بدأت يوم 21 فبراير
وغيرت النتيجة الأولية يوم 2 ابريل
و انتهت يوم 19 ابريل
(4)
بدأت يوم 21 فبراير
وغيرت النتيجة الأولية يوم 2 ابريل
و انتهت يوم 19 ابريل
(4)
لم يكن تغييراً تكيفياً اذن كما صرح البعض ... كان تغييرا غير مخطط و لاسباب خارجية ... لكن مايضمن عدم الانحياز ان الاحصائيين الذين طلبوا التغيير لا يطلعون على النتائج ... تظن انها تجربةثلاثية التعمية Triple Blind يتم اخفاء نتائجها عن المرضى والباحثين والاحصائيين (6)
لاتدقق في التفاصيل لهذة الدرجة ... المهم انها تجربة معماة جيدا ... لكن تصدمك التفاصيل ... يبدوا ان التجربة واجهت مشكلة حتى مع التعمية الثنائية ... تتمثل في عدم توفر كميات كافية من عبوات الدواء الوهمي matching placebo مطابقة شكلاً للدواء الحقيقي (8)
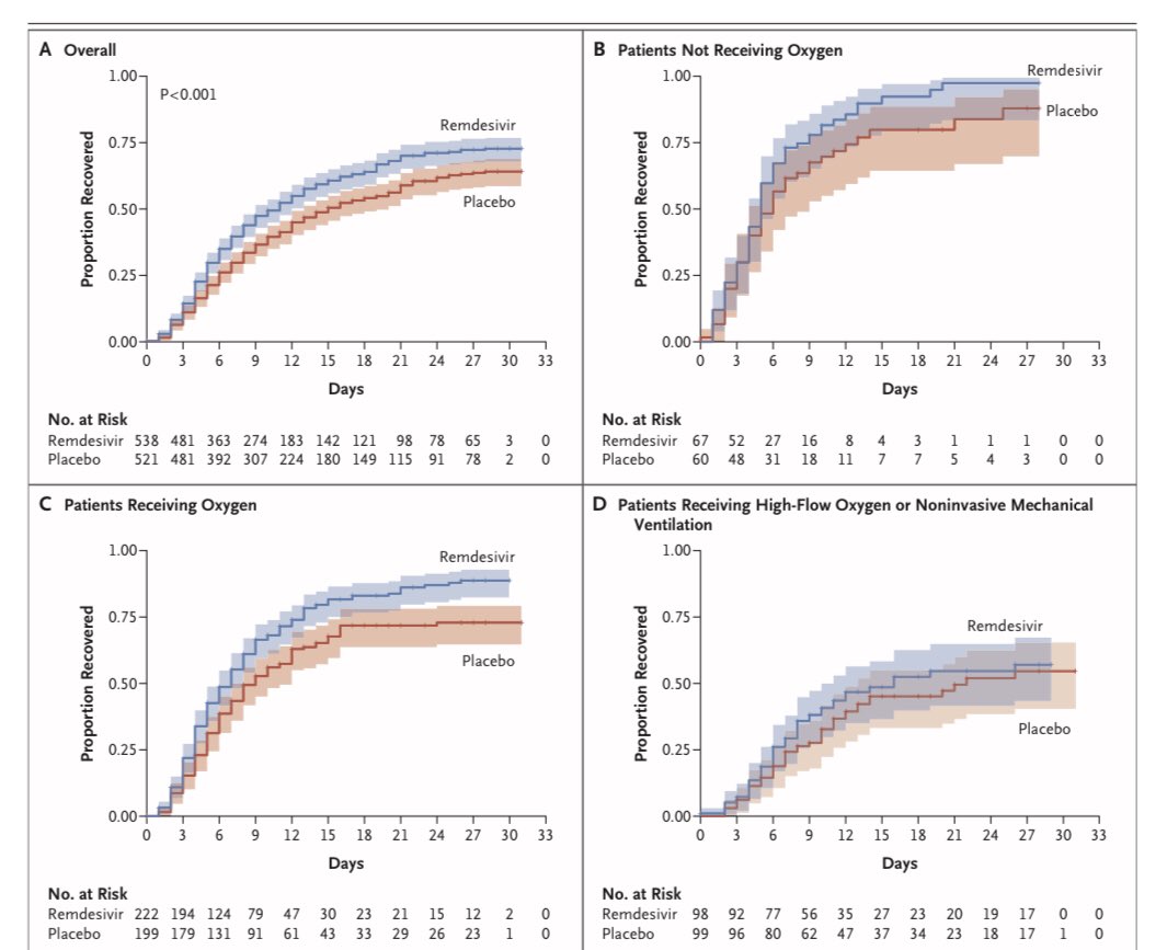
اذا وضعت كل هذا وقارنته بالنتيجة التي توصلت اليها التجربة ... توفير 3 ايام من مدة التعافي ... تحس ان شركة جلعاد على وشك ان تبيع للعالم تاميفلو اخر. (11)
جاري تحميل الاقتراحات...